Midland Radio NT1 Handheld Marine Transceiver User Manual 1849UT4 UsersManual
Midland Radio Corporation Handheld Marine Transceiver 1849UT4 UsersManual
USERS MANUAL
Model NT1, Nautico
Front Cover
(Make sure photo of radios is high resolution before printing)..
Model NT1, Nautico
Page 2 www.midlandradio.com
(Please re-number Table of Contents page numbers as needed
TABLE OF CONTENTS 2
Introduction 3
Important Notice, FCC Licensing 4
LCD Display 5
Controls 5
Battery Installation 6
Installing the Belt Clip 6
Charging the Optional Battery Pack 7
Operating Your Radio 8 - 13
External Speaker/Microphone Jack 14
Troubleshooting Guide 15
Use and Care 15
Specifications and Frequency Charts 16
Warranty Information 17
MIDLAND Family of Products 18
Accessories 19
Model NT1, Nautico
Page 3 www.midlandradio.com
Welcome to the world of Midland electronics
Congratulations on your purchase of a high quality MIDLAND product.
Your 2-way radio represents the state-of-the-art in high-tech
engineering. Designed for VHF Marine Service operation,
this compact package is big on performance. It is a quality piece of
electronic equipment, skillfully constructed with the finest components.
The circuitry is all solid-state and mounted on a rugged printed circuit
board. Your 2-way radio is designed to give you reliable and trouble-free
performance for years to come.
Features
- Marine Channels, 57 US, 61 CAN, 57 INT, grouped by area
- Instant Channel 16
- eVOX
- Selectable CALL Tone
- Weather (WX) Band Receiver
- SCAN Function
- MONITOR Function
- Roger Beep Tone
- Key Pad Lock
- Power High / Power Low Settings
- Speaker / Microphone Jacks
- Battery Indicator
This device complies with Part 15 of the FCC Rules. Operation is subject to
the following two conditions : (1) this device does not cause harmful
interference, and (2) this radio must accept any interference that may cause
undesired operation.
To maintain compliance with FCC’s RF exposure guidelines, for body-worn
operation, this radio has been tested and meets the FCC RF exposure
guidelines when used with Midland Radio Corp. accessories supplied or
designated for this product. Use of other accessories may not ensure
compliance with FCC RF exposure guidelines.

Model NT1, Nautico
Page 4 www.midlandradio.com
The Nautico operates on VHF Marine Radio Service frequencies, in compliance
with Federal Communications Commission (FCC) requirements. Recreational
boaters are not currently required to have a Ship Radio License. The USCG
recommends that the boat’s registration number and state be used for the radio
call sign.
FCC License
A ship station license is not required for any vessel traveling in U.S. waters which
is under 20 meters in length. However, any vessel required to carry an HF SSB
radiotelephone or marine satellite terminal is required to have a ship station
license. FCC license forms can be downloaded at www.fcc.gov/forms. You may
also obtain a form from the FCC by calling (888) 225-5322.
This needs to be first item in manual
Exposure To Radio Frequency Energy
Your Midland radio is designed to comply with the following national and
international standards and guidelines regarding exposure of human being to
radio frequency electromagnetic energy:
- United States Federal Communications Commission, Code of Federal
Regulations: 47 CFR part 2 sub-part J
- American National Standards Institute (ANSI)/Institute of Electrical &
Electronic Engineers (IEEE) C95. 1-1992
- Institute of Electrical and Electronic Engineer (IEEE) C95. 1-1999 Edition
- National Council on Radiation Protection and Measurements (NCRP) of the
United States, Report 86, 1986
- International Commission on Non-Ionizing Radiation Protection (ICNIRP)
1998
To control your exposure and ensure compliance with the general population
or uncontrolled environment exposure limits, transmit no more than 50% of the
time. The radio generates measurable RF energy exposure only when
transmitting.
Icom page >>>
Model NT1, Nautico
Page 5 www.midlandradio.com
LCD DISPLAY
1. LOW BATTERY ICON – Indicates battery level is low.
2. TRANSMIT (TX) ICON – Indicates radio is transmitting a signal.
3. VOX – Indicates when eVOX mode is active.
4. CHANNEL NUMBER – Changes from 1~88a on VHF Marine band (1~10 on
WX band).
5. RECEIVE (RX) ICON – Indicates radio is receiving a transmission.
6. KEY LOCK ICON – Indicates KEY LOCK mode is on.
7. WX BAND ICON – Indicates when the radio is in Weather Band mode
8. TRANSMIT POWER LEVEL(LO) ICON – Indicates TX Low Power setting.
9. USA/CAN/INT CHANNEL ICONS
(Diagram -- Please re-number these so 11-15 are on the left side of the diagram
and 16-20 go down the right side in numerical order)
CONTROLS
11. POWER/VOLUME KNOB – Turn clock-wise to turn the power on and
increase the volume level. Turn counter-clockwise to decrease the volume level
and turn the power off.
12. PTT Button – Press and hold to transmit voice communication. Press twice
quickly to send a call tone.
13. CH 16 Button – Press to switch immediately to emergency channel 16.
Press and hold to switch to Channel 9.
14. MIC – Built-in microphone.
15. SPEAKER – Built-in speaker.
16. ANTENNA.
17. EXTERNAL SPEAKER/MIC JACK.
18. MENU Button – Press to access MENU mode. Press and hold to go to WX
Band Receiver mode.
19. MONITOR/SCAN Button – Press to enter SCAN mode. Press and hold to
enter MONITOR mode.
20. UP and DOWN Button – Make adjustments in MENU mode.
Model NT1, Nautico
Page 6 www.midlandradio.com
BATTERY INSTALLATION
Your Nautico radio operates with either 4 AA
alkaline batteries or an optional NiMH battery pack. The belt clip
should be removed (see below) to ease installation or removal of the
batteries.
To install the batteries:
1. With the back of the radio facing you, remove the belt clip (see diagram below)
for easy access, then remove the Battery Cover
by pressing down on the top center and sliding it down from the radio.
2. Insert 4 AA batteries observing the polarity as shown. Installing
the batteries incorrectly will prevent the unit from operating or
may damage the unit.
3. Return the battery cover by sliding it up on the radio. Replace the belt clip,
making sure it locks into place.
1. Battery inserted in this slot
BATTERY COMPARTMENT
BATTERY COMPARTMENT COVER
Press here and push down to open
(Diagram - Place the Belt Clip Installation diagram from page 13 next to the
Battery Installation diagram on this page).
INSTALLING THE BELT CLIP
To install the BELT CLIP, slide the clip down into the slot on the back of the
radio until the BELT CLIP LATCH clicks. To remove the BELT CLIP, press the
LOCK TAB down, then gently pull the belt clip up toward the top of the radio.
BELT CLIP
LOCK TAB
BELT CLIP
LATCH
Model NT1,Nautico
Page 7 www.midlandradio.com
RECHARGEABLE BATTERY & CHARGER OPTION
Your Nautico is equipped for using an
optional rechargeable NiMH battery pack (not included) which can be
recharged using a desktop charger (not included). Initial charge time is 24 hours
with a charge time of 8-12 hours thereafter. For maximum battery life, we
recommend charging the batteries when the low battery icon comes on. Remove
the radios from the charger when the charge time expires.
To Charge Using a Desktop Charger:
1. Place the rechargeable battery packs in the radios
2. Connect the AC adapter into an AC wall outlet
3. Insert the AC adapter plug (or DC Cigarette Lighter adapter if charging in
vehicle) into the desktop charger jack
4. Place the units into the desktop charger slot and note that the LED indicator
will light up, indicating charging function
(Add a large ! symbol in margin next to the following section)
1. Only use our NiMH battery pack.
2. Do not attempt to charge alkaline batteries or any batteries or battery packs
other than the one indicated in the manual. This may cause leakage and damage
the radio.
3. For long term storage of the radio, turn the radio OFF and remove the
batteries from the radio.

Model NT1,Nautico
Page 8 www.midlandradio.com
OPERATING YOUR RADIO
POWER ON/OFF AND VOLUME
Rotate the POWER/VOLUME knob clockwise to turn the radio on and
increase the volume level. Rotate the control counter-clockwise to reduce the
volume level and to turn the radio off. During Power On, the radio will beep 3
times with different tones, the LCD will display a "self-test" message for 1
second and the LCD display will indicate the last channel selected.
TRANSMITTING AND RECEIVING A CALL
Stolen from Icom manual >>>
1. For maximum clarity, hold the radio 2 to 3
inches from your mouth.
2. Press and hold the PTT button and speak in a
normal voice into the microphone. The TX icon
will appear continuously on the LCD display
while transmitting.
3. To receive a call, release the PTT button. The
RX icon will
appear on the display when your radio is
receiving a transmission.
ABOUT RANGE
Your Nautico radio is designed to give you
maximum range under optimum conditions.
Optimum Conditions are:
• Over water
• Open rural areas without obstructions
• Flat areas where you can see the other person (might need new conditions)
To ensure you get maximum range:
• Be sure to use fresh or fully charged batteries – low batteries will cause low
power conditions
• –Be sure you are
• Be sure to
(Insert Quick Reference Chart from page 11 --previously called "GXT300/400
User Interface Chart " -- here)
Model NT1, Nautico
Page 9 www.midlandradio.com
MONITOR
Pressing and holding the MONITOR button for 1 second will let you hear noise
so you can adjust the volume level of the radio when not receiving a signal. This
should be used to check activity on your current channel before transmitting.
Press and release the Monitor button for 1 second again to get out of Monitor
mode.
SCAN
Your Nautico can scan all channels for activity. To enter, quickly press the
SCAN button. Repeat the same procedure to exit. Your radio will rapidly scan
each of the channels and stop on any active channel for 5 seconds before
resuming scan. When you press the PTT button to transmit on an active channel,
the scanning function will stop and remain on the active channel. To resume
scanning, quickly press the SCAN button.
INSTANT CHANNEL 16/9
Your Nautico can switch to Channel 16 instantly by pressing the CH16 button.
Use channel 16 for emergency traffic only. You can also switch to Channel 9
without changing your normal channel by pressing and holding the CH16 Button
for 1 second. Pressing the CH16 button again returns the radio to the normal
channel setting.
Model NT1, Nautico
Page 10 www.midlandradio.com
CALL TONE
Your Nautico can transmit a call tone for a fixed length of time. To send a call
tone, press the PTT button twice within ½ second. The TX icon will appear while
transmitting a call tone and a tone can be heard on the speaker for confirmation.
KEYPAD LOCK
To avoid accidentally changing the radio setting, press the MENU button 4 times
then press an up/down button to choose ON. The KEY LOCK icon will appear on
the display. PTT and CH 16 will still be active. Repeat the same procedure to
unlock the keypad.
DISPLAY ILLUMINATION
During Power on, the display illumination will activate for approx. 7 seconds. The
display illumination can also be activated when the MENU button is pressed.
CHANNEL SELECTION:
Press the MENU button once, and then the buttons to select one of the
channels. To confirm the selection, press the PTT button or press MENU again
to move to the next feature setting.
Model Nautico
Page 11 www.midlandradio.com
TRANSMIT (TX) POWER LEVEL SELECTION
The Nautico has 2 transmit power level settings. To select the power level on
channels press the MENU button two times, a “Pr” icon will appear blinking on
the display. Then press the (Down/Up arrow symbols) buttons to select
TRANSMIT POWER LEVEL icon ( no icon: Hi /LO: Low). To confirm, press the
PTT button or press MENU again to move to the next feature setting.
eVOX (Hands-free Transmission)
Your Nautico has 2 eVOX level settings: (oF/1/2).
To set eVOX, press the MENU button three times. The display shows “eVOX”
blinking while on the right of the CHANNEL NUMBER display, an “oF” icon
appears. Select “1” or “2” by pressing the buttons and push the PTT key, or
press MENU again to move to the next feature setting.
eVOX will be more sensitive on the “Hi” setting than on the “Lo” setting.
To turn eVOX off, press the MENU button three times. The display shows "VOX"
blinking while on the right of the CHANNEL NUMBER display, an "on" icon
appears. Select "oF" by pressing the (down/up arrow symbols) buttons and push
the PTT key, or press MENU to move to the next feature setting.
Model NT1, Nautico
Page 12 www.midlandradio.com
ROGER BEEP (end of transmission) TONE
When the PTT button is released, the radio will beep to confirm to other users
that your transmission has finished. To turn the ROGER BEEP tone on, press
the MENU button until the display shows an "rb" icon while on the right of the
"rb" display, an "oF" icon appears. Select "on" by pressing the (down/up
symbols) buttons and push the PTT key, or press MENU to move to the next
feature setting.
To turn the ROGER BEEP tone off, press the MENU button until the display
shows an "rb" icon while on the right of the "rb" display, an "on" icon appears.
Select "oF" by pressing the (down/up symbols) buttons and push the PTT key,
or press MENU to move to the next feature setting.
USA/CAN/INT CHANNEL SELECTION
The Nautico channel selection can be changed to follow rules of USA, Canada,
or international rules. Press the MENU button until the current channel icon
(USA, CAN , INT) flashes. . Select a different channel list by pressing the
(down/up symbols) buttons until the desired icon appears. Press the PTT key or
press MENU to confirm.
Model NT1, Nautico
Page 13 www.midlandradio.com
CALL TONE SELECTION
Your Nautico has 3 user-selectable CALL TONES. To select, press the MENU
button six times, so a "CA" icon appears and to the right of the "CA" icon the
current CALL TONE setting is displayed. Then press the (down/up symbols)
buttons to make the CALL TONE selections− the radio will emit a corresponding
tone for each selection. To confirm, press the PTT button or press MENU to
move to the next feature setting.
WEATHER (WX) BAND RECEIVER
Your Nautico has a WEATHER (WX) BAND RECEIVER function, to enable user
to receive weather alert/reports from designated NOAA stations. To turn the
WEATHER (WX) RECEIVER on, press and hold the MENU button for 3
seconds. The current WX CHANNEL and WX BAND icon will appear on the
display. Press the MENU button and the (down/up symbols) buttons to select one
of the 10 WX BAND channels. To confirm, press the PTT button or press MENU
to move to the next feature setting. To turn the WEATHER (WX) RECEIVER off,
press and hold the MENU button for 3 seconds. The current radio setting will be
displayed and the WX BAND icon will go off.
Model NT1, Nautico
Page 14 www.midlandradio.com
EXTERNAL SPEAKER/MICROPHONE JACK
Your Nautico can be used with an optional external speaker/microphone or
headset, freeing your hands for other tasks. To use an optional / speaker /
microphone or headset:
· Insert the plug(s) into the SPK/MIC jacks
· Place the earbud into your ear, and adjust the mic into your desired position.
Model NT1, Nautico
Page 15 www.midlandradio.com
TROUBLESHOOTING GUIDE
PROBLEM SOLUTION
No Power Check battery installation and/or replace batteries
Cannot Receive Messages
Confirm the radios have the same channel
settings.
Make sure that you are within range of the other
transceivers.
Buildings and other structures may interfere with
your communication.
(See ABOUT RANGE on Page
Radio is not responding to
button presses
Make sure key lock is not on. See "Keypad Lock"
(Page 11).
Radio might need to be reset. Turn radio off then
on.
Display is dim Recharge or replace batteries.
Charger not functioning
Contacts on the back of the radio may require
cleaning.
Ensure the outlet where the charger is plugged into
is functioning properly.
Check that the battery pack is installed in the radio
properly.
USE AND CARE :
1. Use a soft, damp cloth to clean the radio
2. Do not use alcohol or cleaning solutions to clean the radio.
3. Do not immerse the radio in water.
4. Use a soft damp cloth to clean the radio
5. Dry the radio with dry lint-free cloth if the radio gets wet.
6. Turn off the radio and remove the batteries during long-term
storage.
If you have a problem which you believe requires service, please call first
and speak with a service technician. Many problems can be remedied over
the phone without returning the unit for service.

Model NT1, Nautico
Page 16 www.midlandradio.com
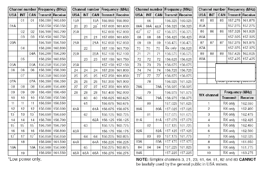
SPECIFICATIONS
Channels
57 US, 61 CAN, 57 INT
10 Weather (WX) Band Channels
Operating Frequency VHF 156.025 ~ 162.550 MHz
Power Source 4 AA Alkaline or 4.8V Rechargeable NiMH battery pack
FREQUENCY CHART (MHz)
Note: chart stolen from Icom. For reference only. Our own chart needed.
(Nautico) WEATHER (WX) RECEIVER FREQUENCY CHART (MHz)
CH. No CH. Freq. CH. No CH. Freq.
1 162.550 6 162.500
2 162.400 7 162.525
3 162.475 8 161.650
4 162.425 9 161.775
5 162.450 10 163.275
Channels 8,9 and 10 are designated Canadian Marine Frequencies
Model NT1, Nautico
Page17 www.midlandradio.com
LIMITED WARRANTY
Midland Radio Corporation will repair or replace, at its option without charge, any
Midland VHF MARINE transceiver which fails due to a defect in material or
workmanship within Three Years following the initial consumer purchase. This
warranty does not apply to water damage, battery leak or abuse.
This warranty does not include any carrying cases, earphones or antennas,
which may be a part of or included with the warranted product or the cost of labor
for removal or re-installation of the product in a vehicle or other mounting.
Performance of any obligation under this warranty may be obtained by returning
the warranted product, freight prepaid, along with proof of purchase to:
Midland Radio Corporation
Warranty Service Department
1120 Clay Street
North Kansas City, MO 64116
This warranty gives you specific legal rights and you may also have other rights,
which vary from state to state. Note : The above warranty applies only to
merchandise purchased in the United States of America or any of the territories
or possessions thereof or from a U.S. Military exchange.
Midland Radio Corporation
1120 Clay Street
North Kansas City, MO 64116
Tel: (816) 241-8500
E-mail: mail@midlandradio.com
URL: www.midlandradio.com

Model NT1, Nautico
Page 18 www.midlandradio.com
MIDLAND Family of Products
(Other Midland Products graphic here)
Model NT1, Nautico
Page 19 www.midlandradio.com
ACCESSORIES
Accessories can be purchased at www.midlandradio.com
AVP3
- 1 Dual Desk Charger
- 2 Rechargeable battery packs
- 1 AC Adapter
- 1 DC Cigarette lighter adapter

Model NT1, Nautico
(BACK COVER)
MIDLAND RADIO CORPORATION
1120 Clay St.
Norht Kansas City, MO 64116
Call 816.241.8500
visit us at www.midlandradio.com
Note: Features & Specifications are subject to change without notice.
MIDLAND is not responsible for unintentional errors or omissions on its
packaging.