Sunrise Telecom XTT5000 Ethernet Tester with Wi-Fi and Bluetooth User Manual XTT 5000 User s Manual
Sunrise Telecom Inc. Ethernet Tester with Wi-Fi and Bluetooth XTT 5000 User s Manual
Users Manual

XTT 5000 User's Manual
Table of Contents
XTT 5000 System........................................................................................... 1
Important Information Home ....................................................................... 1
Home ........................................................................................................... 3
Working Desktop Home............................................................................... 6
Unpacking Home........................................................................................ 8
Windows System Notes Home...................................................................... 9
Hardware Notes Home ...............................................................................10
Handling Optical Fiber Home.......................................................................12
Customer Service..........................................................................................14
Express Limited Warranty Home..................................................................16
Menu Home..............................................................................................18
LEDs Home ..............................................................................................19
Measurement Setup Home..........................................................................20
Status Home ............................................................................................22
System Setup Home..................................................................................23
Date Home...............................................................................................24
Time Zone Home.......................................................................................25
Time Home ..............................................................................................26
Network Setup Home.................................................................................27
System Update Home ................................................................................28
Port Address Home....................................................................................29
Port Setup ...................................................................................................31
Choose a Port Home ..................................................................................31
RJ-45 Port Setup: Auto-Negotiation On Home ...............................................32
RJ-45 Port Setup: Auto-Negotiation Off Home ...............................................33
Pause Frame Delay Home...........................................................................34
Port Pause Home......................................................................................35
Port Duplex Home ....................................................................................36
Asymmetric Pause Home...........................................................................37
RJ-45 Port Polarity Home...........................................................................38
SFP Port Configuration Home ......................................................................39
XFP Port Setup Home.................................................................................40
Throughput Testing .......................................................................................41
Throughput Applications Home....................................................................41
Ethernet Connection Home .........................................................................42
Layer 1 BERT Application Home...................................................................44
L1 BERT Diagram Home .............................................................................46
Layer 2 BERT Application Home...................................................................47
L2 BERT Diagram Home .............................................................................49
Throughput Signal Setup Home...................................................................50
Stream Table Setup Home..........................................................................51
Stream Frame Setup Home ........................................................................53
Stream - Auto Fill Home.............................................................................54
Stream MAC Setup Home ...........................................................................56
Stream - IP Setup Home ............................................................................57
Stream MPLS Setup Home..........................................................................59
Stream Payload Setup Home ......................................................................60
Stream Rx Filter Home..............................................................................62
Sunrise Tags Notes Home...........................................................................64
Stream Traffic Shape Setup Home ...............................................................65
iii
XTT 5000 User's Manual
Stream - Burst Traffic Shape Setup Home.....................................................66
Stream - Constant Traffic Shape Setup Home................................................68
Stream - Ramp Traffic Shape Setup Home....................................................69
Stream - VLAN Setup Home........................................................................71
Stream - TCP Setup Home..........................................................................72
Stream - UDP Setup Home .........................................................................73
Summary Results Home.............................................................................74
Summary Notes Home...............................................................................76
Aggregate Results Home ............................................................................78
Thoughput Stream Results Home ................................................................81
Throughput Non Test Stream Results Home ..................................................83
RFC2544/NE Testing......................................................................................85
RFC2544 Applications Home .......................................................................85
RFC2544 One Tester Application Diagram Home ............................................86
RFC2544 Test Notes Home .........................................................................87
RFC2544 Throughput Application Home........................................................89
RFC2544 Test Sequence Home...................................................................90
RFC2544 Throughput Latency Home ............................................................92
RFC2544 NE Test Configuration Home.........................................................94
RFC2544 Frame Sizes Thresholds Home .......................................................95
RFC2544 Back-to-Back Testing Notes Home..................................................96
RFC-2544 Frame Loss & Back to Back Setup Home .........................................97
Stream Table Setup Home..........................................................................99
RFC2544 Summary Results Home..............................................................101
RFC2544 Thruput Latency Results Home.....................................................103
RFC2544 Frame Loss Table Results Home...................................................104
RFC2544 Back-to-Back Table Results Home ................................................105
RFC2544 Thruput Chart Results Home........................................................106
Aggregate Results Home ..........................................................................107
IP Ping Testing ...........................................................................................111
IP Testing Home .....................................................................................111
IP Setup Tab Home .................................................................................113
Ping Setup Home ....................................................................................114
IP Summary Results Home .......................................................................116
IP Aggregate Results Home ......................................................................117
Ping Test Results Home...........................................................................121
Ping Trace Route Setup Home...................................................................122
Ping Trace Route Results Home.................................................................123
Ping Echo Log Home................................................................................124
Aggregate Results Home ..........................................................................125
Ping Test Results Home...........................................................................128
Loopback Features ......................................................................................129
Loopback Test Setup Home ......................................................................129
Loopback Diagram Home..........................................................................131
Loopback Ports Note Home.......................................................................132
Loop Control Home..................................................................................133
Loopback Responder Home.......................................................................135
Monitor......................................................................................................137
Monitor Applications Home .......................................................................137
Monitor Setup Home................................................................................138
Save Features ............................................................................................139
Save Features Home................................................................................139
Error Injection Home ...............................................................................143
iv
Table of Contents
v
Technology Overview...................................................................................145
Technology: Ethernet Overview Home........................................................145
Technology: Standards Home ...................................................................146
Technology: Ethernet Optical Line Encoding Home .......................................148
Technology: Ethernet Frames .......................................................................149
Technology: Frame Size Details Home........................................................151
Technology: Ethernet Frame Size and Efficiency Home .................................152
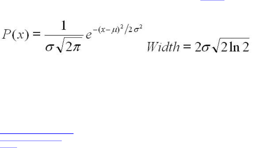
Technology: Gaussian Frame Probability Home............................................153
Technology: Frame Interval Home.............................................................154
Technology: Ethernet MAC Addresses Home................................................155
Technology: Ethernet IPG Home................................................................156
Technology: Unicast/Multicast Testing Note Home........................................157
Technology: VLAN Tagging Home ..............................................................158
Technology: VLAN User Priority Home ........................................................161
Technology: MPLS Home ..........................................................................162
Technology: IP Overview Home.................................................................163
Glossary ....................................................................................................167
Index ........................................................................................................171

XTT 5000 System
Important Information Home
XTT 5000 provides not only sophisticated technical
specifications, but easy to use applications for the
verification, turn-up, and hand-off of Ethernet services.
Use XTT 5000 in conjunction with another test set or
loopback device (such as the Metro Responder), to
qualify network performance and verify quality of
service per ITU and MEF standards and service level
agreements.
Unpacking Details
Warnings and Cautions
Using the supplied equipment in a manner not specified by Sunrise
Telecom may impair the protection provided by the equipment.
This is a Class 1 LASER product. Avoid looking directly at the Transmitter
source. For added safety, turn off the laser when not in use.
Using the supplied equipment in a manner not specified by Sunrise
Telecom may impair the protection provided by the equipment.
End of Life Recycling and Disposal Information
DO NOT dispose of Waste Electrical and Electronic Equipment (WEEE) as unsorted
municipal waste. For proper disposal return the product to Sunrise Telecom. Please
contact our local offices or service centers for information on how to arrange the
return and recycling of any of our products.
EC Directive on Waste Electrical and Electronic Equipment (WEEE).
The Waste Electrical and Electronic Equipment Directive aims to minimize the
impact of the disposal of electrical and electronic equipment on the environment. It
encourages and sets criteria for the collection, treatment, recycling, recovery, and
disposal of waste electrical and electronic equipment.
Tips on XTT 5000 & this Help System
Disclaimer: Contents of this Help system are subject to change without notice and
are not guaranteed for accuracy.
Visit the Working Desktop page to get an overview of how to use XTT 5000's controls
and features. Visit the Hardware Notes for hardware tips.
Get a technology tip related to the topic.
Get a testing tip; information that will help you in your testing.
A button may be referred to via text, or via its icon.
FCC Information
1

XTT 5000 User's Manual
FCC ID: UEBXT5000
This device complies with Part 15 of the FCC Rules. Operation is subject to the
following two conditions: (1) this device may not cause harmful interference, and (2)
this device must accept any interference received, including interference that may
cause undesired operation.
Note: This equipment has been tested and found to comply with the limits for a
Class A digital device, pursuant to Part 15 of the FCC Rules. These limits are
designed to provide reasonable protection against harmful interference when the
equipment is operated in a commercial environment. This equipment generates,
uses, and can radiate radio frequency energy and, if not installed and used in
accordance with the instruction manual, may cause harmful interference to radio
communications. Operation of this equipment in a residential area is likely to cause
harmful interference in which case the user will be required to correct the
interference at his own expense.
Any changes or modifications not expressly approved by the party responsible for
compliance could void the user’s authority to operate the equipment.
Caution: Exposure to Radio Frequency Radiation
To comply with FCC RF exposure compliance requirements, this device must not be
co-located or operating in conjunction with any other antenna or transmitter.
Where do you want to go next?
View a list of Help contents at Home.
Set up a Throughput test.
Set up an RFC2544 test.
Set up an IP test.
Set up a Monitor test.
Configure a Loopback
Customer Service
Home
2

XTT 5000 System
Home
Use this page to move through the Help system quickly.
XTT 5000 System Information
Important
Information
Warnings and Recycling information; Unpacking.
Working Desktop An overview of how the STT 5000 desktop works, including
the Menu, LEDs and Windows desktop notes.
Hardware Notes Information about chassis, ports and buttons. Get details
on Handling Optical Fiber.
Measurement
Setup
Setup a manual or timed test.
Network Setup Configure system Ethernet settings if necessary.
System Setup Date, Time Zone, Time (of day).
Status View or update the system.
Customer Service Contact Sunrise Telecom; view warranty information.
Port Setup
Choose a Port Set up test ports.
Port Address Configure test port addresses if necessary.
RJ-45:
Negotiation On
RJ-45
Negotiation Off
SFP Port Setup
XFP Port Setup
Throughput Testing
Throughput
Applications
Ethernet
Connection
Make sure the link is up; troubleshooting.
Signal Setup Select BERT or Live, and choose the test layer.
Stream Table
Setup
MAC, VLAN, MPLS, IP, UDP, TCP, Payload, Traffic Shape, Rx
Filter
Summary
Results
View overall results for all streams.
Aggregate
Results
View counts for results for all test streams.
Stream Results View statistics for one stream.
Non Test Stream
Results
View statistics for traffic not conforming to the test.
RFC2544 Testing
RFC2544
3

XTT 5000 User's Manual
Applications
RFC2544/NE
Test Setup
Test Sequence
Setup
Select to run an RFC2544 or NE Stress Test.
Frame Sizes
Setup
Throughput and
Latency Setup
Frame Loss &
Back-to-Back
Setup
Stream Table
Setup
NE Stress Test
Setup
RFC2544
Summary
Results
RFC2544
Throughput
Latency Results
Throughput
Chart Results
Thruput
Aggregate
Results
IP/Ping Testing
IP Testing
Application
IP Setup Tab Choose PING or TRACEROUTE test, setup IP and VLAN
details.
Ping Test Setup
Ping Test Results
Ping Echo Log Get details on tx pings and rx ping echoes.
Ping Trace Route
Setup
Ping Trace Route
Results
Aggregate
Results
Applies to both PING and TRACEROUTE tests.
Loopback Features
Loopback Test Setup
Loopback Responder
Loop Control
Monitor Testing
4

XTT 5000 User's Manual
Working Desktop Home
Windows System
Notes
Important Information Hardware Notes
XTT 5000 is a touch-screen unit. Use your finger or the stylus to make selections.
Often, a number pad will appear for use in entering alphanumeric data. The Status
Bar is the black row at the top of the screen; it provides system information. The
Action Bar of buttons at the bottom of the screens gives access to many functions.
Here is an overview:
• Touch buttons to activate (single touch/click) the function, or to open (double
touch/click) their configuration screens.
• Button colors have meaning: blue-available button; orange-active
selection, light gray-unavailable button.
• Press to save changes and apply your new settings. When asked to verify
changes, = Yes and = No (cancel).
• Press to begin taking measurements. Press to stop a test.
• The 'Results' button ( ) at the top right takes you to the results screens,
but doesn't actually start a test.
• Press to select a new test mode from the drop down menu. The
horizontal Menu Bar tabs will change depending on the test type (shown on
the Module Status panel; Throughput, RFC2554, etc.) selected. Touch a menu
tab label to see the items in that menu.
Status Bar: Located at the top of the screen.
Section Information
Soft virtual LEDs show the logical and physical state of
the selected port.
Module Status Panel: Get module data, such as the
port, test mode and transmission status.
System Status Panel: Get system-related information,
including the battery charge status, and the '?' button,
which is used to access this Help system. Press '?'
again to exi
t Help
Menu Select a new test mode from the drop down menu.
Results On the setup screens, press 'Results' to go to
measurement results.
6

XTT 5000 System
Setup Return to the test setup screen from a results window
(e.g Summary Results, Aggregate Results).
Action Bar: The Action Bar is located at the bottom of the screen.
Button Action
Apply Save changes and apply your new settings.
Cancel Cancel (stop/delete) any changes in progress.
Saved Results Access saved measurement results files.
Profiles Save or load test profiles. See saved files.
Laser On/Off Activate the laser for testing. Turn the laser off for
safety.
Port
View the type or port and its status. Press the button to
select a different port to use.
Flow control Transmits a flow control (pause) frame, according to
parameters set on the active port.
LED Reset Clears all historical LED data, so the LEDs will display
the current line status.
Reset Starts measurements counts over from 0.
Loop Control Access Loopback Control.
Error Inject Inject errors in the payload.
Start, Stop Start and stop a test. To get measurement results, start
at test.
Generate a measurement report.
Where do you want to go next?
Configure an RJ-45 port.
Configure an SFP port.
Configure an XFP port.
Meas. Setup: Configure measurement parameters
Throughput Test Setup
RFC2544/NE Applications
IP Test Setup
Monitor Setup
Loopback Test Setup
Home
7

XTT 5000 User's Manual
Unpacking Home
To unpack and test a new test set:
1. Remove the packing list, test set, and accessories from the shipping
container.
2. Inspect all parts and immediately report any damage to the carrier and to
Sunrise Telecom.
3. Verify that all parts specified on the packing list were received.
4. Complete the Warranty Registration Card and return it immediately to Sunrise
Telecom.
Note: Sunrise Telecom must receive the Warranty Registration Card in order
to provide software updates.
Where do you want to go next?
Configure an RJ-45 port.
Configure an SFP port.
Meas. Setup: Configure measurement parameters
Throughput Test Setup
RFC2544/NE Applications
IP Test Setup
Monitor Setup
Loopback Test Setup
Working Desktop
Home
8

XTT 5000 System
Windows System Notes Home
Press the bottom hardware button to move between the XTT 500 and the Windows
system desktop. On the Windows desktop, access useful basic computer tools:
System
• Reset system: Shut down and restart.
• Calibrate Touchscreen: Recalibrate the touch screen if screen response
seems off. Touch each 'x'.
• XTT 5000: Start the XTT 5000 application.
PDF Viewer: Launch a viewer to read PDF files.
Calculator
File Manager
System Administrator: Access XTT 5000 system information and setups.
Eject SD Card: Safely eject an SD memory card.
Eject USB Drive: Safely eject a USB memory drive.
Important Note - Caution: External memory devices must be ejected properly,
using the appropriate button, in order to safeguard your data. Failure to eject a drive
properly may result in lost data.
Where do you want to go next?
The Working Desktop
Configure an RJ-45 port.
Configure an SFP port.
Configure an XFP port.
Meas. Setup: Configure measurement parameters
Throughput Test Setup
RFC2544/NE Applications
IP Test Setup
Monitor Setup
Loopback Test Setup
Home
9

XTT 5000 User's Manual
Hardware Notes Home
XTT 5000 is a touch screen test set; use your finger or a stylus to make selections.
However, you may find attaching and using a mouse is fastest. Plug the power cord
in on the right side, and press and hold the top round button for a few moments to
turn the unit on (or off).
Get unpacking details.
Ports - Right Side
SD Card Use to transfer files; may also use Micro SD with SD
Adapter.
10/100 Ethernet Use for a network connection.
Mini USB client Used to send files between a computer and the XTT 5000
hardware.
Power Plug in the AC charger.
Ports - Left Side
2 USB host ports: Use to attach USB devices, e.g., keyboard and mouse.
USB Mouse Troubleshooting Hint: For best functionality, use a ferrite mouse, or
place a ferrite bead on the USB mouse cord.
Ports - Top
The top connector panel holds the test ports; a combination of RJ-45, SFP, and XFP
ports, depending on the configuration ordered.
• See Port_Address.
• See Choose a Port.
• See SFPs and XFPs are hot-swappable. Handle the bale carefully, and avoid
touching the end of the connector. See Handling Optical Fiber.
Buttons
• The round top button is the power on/off button.
• The top square button brings up the soft keyboard. Press it again to bring up
a number pad.
• Use the Up (third button) and Down (fourth) buttons on the right side of the
chassis to scroll up and down in the screens.
A scroll bar appears on a screen where there is more information below the
current window (for example, results and Help screens often have long
pages).
• Use the bottom button to toggle between the computer desktop and the STT
5000 application.
External Storage
If you are using an external form of storage on the XTT-5000 (USB drive, etc.) (and
have written files to the external volume), you must cleanly dismount the volume
from Windows before removing it, or the files may not be written safely to the
external storage volume.
Use a desktop icon to Safely Remove Hardware.
10

XTT 5000 User's Manual
Handling Optical Fiber Home
In general, handle fiber patch cords and connectors carefully. Always replace dust
covers. Keep the optical connectors clean, and make a practice of not looking into
fiber ends.
An optical fiber is a strand of glass about the same diameter as a human hair.
Though it is remarkably durable, careful handling is required to ensure continued
high performance and long life.
• Do not pull or kink patch cords, as the glass strand in the middle might
become damaged or broken.
• A sharp bend will cause excessive signal loss.
• Keep patch cord bend radiuses no less than an inch.
• Use specialized optical cable raceways and plenums whenever they are
available.
• Don’t use tie wraps as you would with electrical cables. Tie wraps will put
strain on the fiber. The next figure shows the proper method of wrapping and
securing fiber patch cords.
There are several types of
optical connectors in use today.
This figure shows the two most
popular for Ethernet, SC and
LC.
SC to LC Cable
This is a duplex multi-mode LC cord.
Look closely at the pictures to see the
details of the connection mechanism.
Duplex LC Cable
• When using optical connectors, insert or remove the ferrule straight into the
sleeve.
• Minimize wiggling the connector as this may loosen the tight fit that is
required for the ferrule and sleeve.
• For SC connectors, orient the prominent key on the connector body with the
slot in bulkhead adapter. Push the connector in until it clicks. To remove,
12

XTT 5000 System
pinch the connector body between your thumb and finger, and gently pull
straight out.
• LC connectors evolved from the basic RJ-45 connector design, and are placed
on and removed in the same fashion as an RJ-45. Simply push the rear
prongs together to release the connector. Listen for the click when you seat
the connector.
Cleaning Optical Fiber
Fiber optic connectors must be kept clean to ensure long life of the connectors and to
minimize transmission loss at the connection point.
Precautions
• When not in use, always replace dust covers and caps to prevent deposits and
films from airborne particles. A single dust particle caught between two
connectors will cause significant signal loss. Dust particles can scratch the
polished fiber end, resulting in permanent damage.
• Do not touch the connector end or the ferrules, since this will leave an oily
deposit from your fingers.
• Do not allow uncapped connectors to drop on the floor.
How to Clean
• Should a fiber connector become dirty or exhibit high loss, carefully clean the
entire ferrule and end face.
• Special lint-free pads should be used with isopropyl alcohol.
• Even though not very accessible, the end face in a bulkhead adapter on test
equipment can be cleaned by using a special lint-free swab, again with
isopropyl alcohol.
• In extreme cases, a test unit may require more thorough cleaning at the
factory.
• Cotton, paper, or solvents should never be used for cleaning since they may
leave behind particles or residues.
• Use a fiber optic cleaning kit especially made for cleaning optical connectors,
and follow the directions.
• Canned air can do more harm than good if not used properly. Again, follow
the directions that come with the kit.
Where do you want to go next?
• Throughput Test Setup
• RFC2544/NE Applications
• IP Test Setup
• Monitor Setup
• Loopback Test Setup
• Working Desktop
• Home
13

XTT 5000 User's Manual
Customer Service
Sunrise Telecom Customer Service is available 24/7. Customer Service performs the
following functions:
• Answers customer questions over the phone on such topics as product
operation and repair.
• Repairs malfunctioning XTT promptly.
• Provides information about product upgrades.
The warranty period covering the XTT 5000 is one year from the date of shipment on
hardware, software, accessories, and the battery.
A Return Merchandise Authorization (RMA) Number is required before any product
may be shipped to Sunrise Telecom for repair. Out-of-warranty repairs require both
an RMA and a Purchase Order before the unit is returned. All repairs are warranted
for 90 days.
Please contact Customer Service if you need additional assistance:
Customer Service
Sunrise Telecom Incorporated
302 Enzo Drive
San Jose, CA 95138 U.S.A.
Tel: 1 408 363 8000 or 1 800 701 5208 (24 hours)
Fax: 1 408 363 8313
Internet: http://www.sunrisetelecom.com
E-mail: support@sunrisetelecom.com
Offices
Sunrise Telecom offices are located around the world:
HEADQUARTERS
302 Enzo Drive, San Jose, CA 95138, USA
Tel: 408-363-8000, Fax: 408-363-8313
info@sunrisetelecom.com
BROADBAND PRODUCTS GROUP - ATLANTA
3075 Northwoods Circle, Norcross, GA 30071, USA
Tel: 770-446-6086, Fax: 770-446-6850
catv@sunrisetelecom.com
OPTICAL PRODUCTS GROUP
7b Route Suisse, 1295 Mies, Switzerland
Tel: +41-22-755-5650, Fax: +41-22-755-5667
info@sunrisetelecom.ch
PROTOCOL PRODUCTS GROUP
Via Jacopo Peri, 41/c, 41100 Modena, ITALY
Tel: +39-059-403711, Fax: +39-059-403715
info@sunrisetelecom.it
SUNRISE TELECOM CHINA
Room 1503, Tower 3 , No.1, Xizhimenwai Street
Xicheng District, Beijing, 100044, CHINA
Tel: +86-10-5830-2220, Fax: +86-10-5830-2239
14

XTT 5000 System
info@sunrisetelecom.com.cn
SUNRISE TELECOM FRANCE SAS
ZA Courtaboeuf 2 - Immeuble le Ceylan
6 Allée de Londres 91140 Villejust, FRANCE
Tel: +33 (0) 1 6993 8990, Fax: +33 (0) 1 6993 8991
info@sunrisetelecom.fr
SUNRISE TELECOM GERMANY GmbH
Buchenstr. 10
D- 72810 Gomaringen, GERMANY
Tel: +49 (0) 7072 9289 58, Fax: +49 (0) 7072 9289 55
info@sunrisetelecom.de
SUNRISE TELECOM ITALY
Via G. Matteotti 98, Cinisello Balsamo (MI) 20092, ITALY
Tel: +39-023-651-1327, Fax: +39-029-287-8764
SUNRISE TELECOM JAPAN
Aoyamakouei Bldg 2F, 2-7-24, Kita-Aoyama,
Minato-Ku, Tokyo 107-0061 JAPAN
Tel: +81-3-5772-3403, Fax: +81-3-5770-4037
info@sunrisetelecom.co.jp
SUNRISE TELECOM LATIN AMERICA
Calle Cerro de las Campanas #3, Of. 418
Col. San Andrés Atenco, 54040 Tlalnepantla, México, MEXICO
Tel: +52-55-5370-2124
info@sunrisetelecom.com.mx
SUNRISE TELECOM TAIWAN
21, Wu Chuan 3rd Road, Wu-Ku Hsiang
Taipei County, 248, Taiwan, R.O.C.
Tel: +886-2-2298-2598, Fax: +886-2-2298-2575
info@sunrisetelecom.com.tw
Where do you want to go next?
Throughput Test Setup
RFC2544/NE Applications
IP Test Setup
Monitor Setup
Loopback Test Setup
Working Desktop
Home
15

XTT 5000 User's Manual
Express Limited Warranty Home
A. Hardware Coverage. COMPANY warrants hardware products against defects in
materials and workmanship. During the warranty period COMPANY will, at its sole
option, either (i) refund of CUSTOMER’S purchase price without interest, (ii) repair
said products, or (iii) replace hardware products which prove to be defective;
provided, however, that such products which COMPANY elects to replace must be
returned to COMPANY by CUSTOMER, along with acceptable evidence of purchase,
within twenty (20) days of request by COMPANY, freight prepaid.
B. Software and Firmware Coverage. COMPANY warrants software media and
firmware materials against defects in materials and workmanship. During the
warranty period COMPANY will, at its sole option, either (i) refund of CUSTOMER’S
purchase price without interest, (ii) repair said products, or (iii) replace software or
firmware products which prove to be defective; provided, however, that such
products which COMPANY elects to replace must be returned to COMPANY
by CUSTOMER, along with acceptable evidence of purchase, within twenty (20) days
of request by COMPANY, freight prepaid. In addition, during the warranty period,
COMPANY will provide, without charge to CUSTOMER, all fixes, patches, new releases
and updates which COMPANY issues during the warranty period. COMPANY does not
warrant or represent that all software defects will be corrected. In any case where
COMPANY has licensed a software product “AS IS,” COMPANY’S obligation will be
limited to replacing an inaccurate copy of the original material.
C. Period. The warranty period for Hardware, Software and Firmware will be One (1)
Year from date of shipment to CUSTOMER. The COMPANY may also sell warranty
extensions or provide a warranty term of three years with the original sale, which
provide a longer coverage period for the test set chassis, software and firmware, in
which case the terms of the express limited warranty will apply to said specified
warranty term.
D. Only for CUSTOMER. COMPANY makes this warranty only for the benefit of
CUSTOMER and not for the benefit of any subsequent purchaser or licensee of any
merchandise.
E. LIMITATION ON WARRANTY. THIS CONSTITUTES THE SOLE AND EXCLUSIVE
WARRANTY MADE BY COMPANY WITH RESPECT TO HARDWARE, SOFTWARE AND
FIRMWARE. THERE ARE NO OTHER WARRANTIES, EXPRESS OR IMPLIED. COMPANY
SPECIFICALLY DISCLAIMS THE IMPLIED WARRANTIES OF MERCHANTABILITY AND
FITNESS FOR A PARTICULAR PURPOSE. COMPANY’S LIABILITY UNDER THIS
AGREEMENT WITH RESPECT TO A PRODUCT, INCLUDING COMPANY’S LIABILITY FOR
FAILURE AFTER REPEATED EFFORTS TO INSTALL EQUIPMENT IN GOOD WORKING
ORDER OR TO REPAIR OR REPLACE EQUIPMENT, SHALL IN NO EVENT EXCEED THE
PURCHASE PRICE OR LICENSE FEE FOR THAT PRODUCT, NOR SHALL COMPANY IN
ANY EVENT BE LIABLE FOR ANY INCIDENTAL, CONSEQUENTIAL, INDIRECT, OR
SPECIAL DAMAGES OF ANY KIND OR NATURE WHATSOEVER, ARISING FROM OR
RELATED TO THE SALE OF THE MERCHANDISE HEREUNDER, INCLUDING BUT NOT
LIMITED TO DAMAGES ARISING FROM OR RELATED TO LOSS OF BUSINESS, LOSS
OF PROFIT, LOSS OF GOODWILL, INJURY TO REPUTATION, OVERHEAD, DOWNTIME,
REPAIR OR REPLACEMENT, OR CHARGE-BACKS OR OTHER DEBITS FROM CUSTOMER
OR ANY CUSTOMER OF CUSTOMER.
F. No Guaranty, Nonapplication of Warranty. COMPANY does not guaranty or warrant
that the operation of hardware, software, or firmware will be uninterrupted or error-
free. Further, the warranty shall not apply to defects resulting from:
(1) Improper or inadequate maintenance by CUSTOMER;
16

XTT 5000 System
(2) CUSTOMER-supplied software or interfacing;
(3) Unauthorized modification or misuse;
(4) Operation outside of the environmental specifications for the product;
(5) Improper site preparation or maintenance; or
(6) Improper installation by CUSTOMER.
Where do you want to go next?
Throughput Test Setup
RFC2544/NE Applications
IP Test Setup
Monitor Setup
Loopback Test Setup
Working Desktop
Home
17

XTT 5000 User's Manual
Menu Home
Press 'Menu' on the working desktop to choose the type of test to perform. The menu
selections appear below the button.
Parameter Details
SYSTEM Configure basic system properties if necessary.
THROUGHPUT Perform a BER test; perform end-to-end testing with a test
pattern; get results on the pattern. This is the basic
configuration.
RFC2544/NE
TEST
Take measurements in accordance with RFC 2544.
IP TEST Perform an IP /Ping Test to check Layer 3 connectivity.
LOOPBACK Loop incoming traffic back to its source.
MONITOR Bidirectionally monitor live traffic.
The secondary port may be in Loopback mode regardless of
the test performed by the primary port.
Where do you want to go next?
The Working Desktop
BERT Application - Layer 1
BERT Application - Layer 2
RFC2544 Applications
IP Test Setup
Loopback Test Setup
Loop Control
Monitor Applications
Home
18

XTT 5000 System
LEDs Home
Physical LEDs are located next to the ports on the top of XTT 5000. They report on
the status of the Ethernet connection.
Green = good
Red = bad
Virtual LEDs on the working desktop provide line status.
Green = good
Red = bad
- steady red: currently receiving errors/alarms
- flashing red: errors/alarms received in the past.
Press 'LED Reset' ( ) to clear the
flashing.
LED Details
Link Connected/not connected Ethernet link status.
ACT Activity status of the Ethernet link.
ERR Received errors.
PAT Test pattern errors; received pattern does not match the expected
pattern.
BIT Bit errors received.
Where do you want to go next?
The Working Desktop
Configure an RJ-45 port.
Configure an SFP port.
Meas. Setup: Configure measurement parameters
Throughput Test Setup
RFC2544/NE Applications
IP Test Setup
Monitor Setup
Loopback Test Setup
Home
19

XTT 5000 User's Manual
Measurement Setup Home
Configure how and when results are taken.
Parameter Options Details
Start Mode PROGRAM: Program a specified
date and time in the future to
begin taking measurements. Once
you have selected Program, enter
the desired date and time in the
next two items.
MANUAL: Manually begin the test
measurements.
Select the method to
begin your test
measurements.
Stop Mode CONTINUOUS: Test will run
indefinitely until you press 'Stop'.
TIMED: Test runs for the Test
Duration length of time.
Set the mode in which
measurements will be
taken.
Start Time Specify the Hour, Minute, and
Seconds to begin measurements.
Start Mode=PROGRAM.
Test
Hours/Minutes
Enter the number of Hours and
Minutes you want the test to run
for in those fields.
Stop Mode=TIMED.
Set the length of time
a timed test will run
once you press 'Start'.
Start Date Enter the Year, Month, and Day to
begin measurements.
Start Mode=PROGRAM.
On the calendar which
appears, use the
arrows to scroll to the
month you want, then
tap the specific date.
Save Mode Auto_Save: Results are saved
automatically when the test is
stopped. A file name will be
assigned automatically.
Never_Save: Results are not
saved.
Manual_Save: Results are saved
when the test is stopped. A dialog
box will appear for you to input a
filename in.
Select the method to
save your test
measurements.
Start TX
Coupled On: The transmitter and
measurement begin at the same
time.
Off: A 'TX On' button appears on
the Action Bar. This button is
grayed out until the measurement
is started. Once the measurement
is started, press the 'TX On' button
to begin sending traffic.
Determine when the
transmitter will turn
on.
To access the window, touch Measurement Setup on the System Setup menu.
20

XTT 5000 User's Manual
Status Home
Get details on XTT 5000 system performance. Select Menu > System > Status.
General
Statistic Meaning
File Usage Percentage of system currently in use.
Memory
Usage
Percentage of system RAM in use.
Temperature Unit temperature; normal range is 0˚C to 45˚C.
Power
Statistic Meaning
AC Power ON if the unit is plugged in; OFF if it is not.
Total Charge The percentage of charge remaining in the battery; see the
Battery icon.
Remaining
Time
When running on battery, approximately how long the battery
will last.
Time to Full
Charge
When running on battery, approximately how long it will take to
recharge the battery.
Version Information
Firmware Version
Serial Number
Where would you like to go next?
Test Type Menu
Working Desktop Overview
Home
22

XTT 5000 System
System Setup Home
Set the basic system information if required. Select Menu > System > System Setup.
System Clock
Parameter Function
Date Set the calendar date if necessary.
Time Enter the time of day on the pop window.
Get Local Time Align the XTT-5000 system clock to the time that
is "local" to the PC with the browser.
Applies when XTT-5000 is controlled from a
"remote browser".
Where do you want to go next?
Throughput Signal Setup
Throughput Stream Table Setup
Throughput Summary Results
Tech: Ethernet Overview
Loopback Test Setup
IP Test Setup
IP Testing
Throughput Test Setup
RFC2544 Applications
Home
23

XTT 5000 User's Manual
Date Home
Press Date on System Setup tab to set the calendar date for the system. The
calendar window is shown below.
To select a date, click on it.
<< , >> Move backward or forward a year.
< , > Move backward or forward a month.
Set the Calendar Date
Where do you want to go next?
System Setup
The Working Desktop
Configure an RJ-45 port.
Configure an SFP port.
Meas. Setup: Configure measurement parameters
Throughput Test Setup
RFC2544/NE Applications
IP Test Setup
Monitor Setup
Loopback Test Setup
Home
24

XTT 5000 System
Time Zone Home
Press Time Zone on the System Setup tab to select the local time zone.
Press the button corresponding to your time zone.
The window will close and return you to the System Setup window.
Where do you want to go next?
System Setup
The Working Desktop
Home
Configure an RJ-45 port.
Configure an SFP port.
Meas. Setup: Configure measurement parameters
Throughput Test Setup
RFC2544/NE Applications
IP Test Setup
Monitor Setup
Loopback Test Setup
25

XTT 5000 User's Manual
Time Home
Set the time of day. Press Time on the System Setup tab to access this function.
The cursor appears to the left of the time on the window.
Enter the entire time of day, in the hours:minutes:seconds format.
Enter the time using the number pad.
Select AM or PM at the bottom of the number pad.
Where do you want to go next?
The Working Desktop
System Setup
Configure an RJ-45 port.
Configure an SFP port.
Meas. Setup: Configure measurement parameters
Throughput Test Setup
RFC2544/NE Applications
IP Test Setup
Monitor Setup
Loopback Test Setup
Home
26

XTT 5000 System
Network Setup Home
Configure system settings if necessary. Access this window from the System menu
Network Setup tab.
Ethernet Port
Configure the system settings, if necessary.
IMPORTANT NOTE: These settings apply to the XTT 5000 module’s own LAN
port, NOT the test ports. Changing these settings may cause the module to lose
connection with the system.
Parameter Details
Admin IP Enter the IP address for the XTT 5000 module.
Subnet Mask Enter the subnet address for the XTT 5000 module, if
appropriate.
Gateway Specify the gateway address for the XTT 5000. Used for
static IP.
DHCP Enabled XTT 5000 automatically retrieves the appropriate IP
address when connected to a LAN. When enabled, the
previous three items are grayed out.
MAC Address View the LAN port's MAC address.
DNS servers
Parameter Details
Primary DNS
Server
Specify the local primary (master) DNS server address.
Enter an address directly, using the number pad which pops
up.
The secondary Server is a server that obtains information
about a zone from a Primary Server via a zone transfer
mechanism. Sometimes known as a Slave Server.
Secondary DNS
Server
Specify the secondary (slave) DNS server address.
Where do you want to go next?
Configure an RJ-45 port.
Configure an SFP port.
Meas. Setup: Configure measurement parameters
Throughput Test Setup
RFC2544/NE Applications
IP Test Setup
Monitor Setup
Loopback Test Setup
Home
27

XTT 5000 User's Manual
System Update Home
View the system's current version as well as a list of other available versions, and
install updates.
XTT 5000 will check for a software update when you enter the screen; this takes
several seconds.
The 'Install Update' button becomes available if a new update is found. Press it to
install the update. XTT 5000 will look for upgrade files in the following locations, in
order:
USB Drive
SD Card
Network Server
Often, XTT 5000 will power off to complete the update. Power the unit back on to
resume testing.
Press 'Refresh' to recheck the current software version.
Where would you like to go next?
Menu
Working Desktop Overview
Home
28

XTT 5000 System
29
Port Address Home
Configure the local port settings, if necessary.
IMPORTANT NOTE: These settings apply to the XTT 5000 module’s test ports.
For each port, set the IP Address, Subnet Mask, and Gateway addresses, and view
the factory default MAC Source address. The port numbers refer to the port labels on
the outside of the unit.
A number pad will appear for you to edit the addresses with.
Make sure to press 'Laser On' in the Action Bar to activate the laser when required.
Where would you like to go next?
Port Summary
RJ45 Port: Auto-Neg On
SFP Port Configuration
XFP Port Setup
Menu
Working Desktop Overview
Home

Port Setup
Choose a Port Home
The port selection button at the bottom center of the screen
reports the connection type (shown by the connector; RJ-45
here) and rate (100M/Full duplex here).
Press the button to change the port in use. The Ports Summary window appears.
The port in use is highlighted. Port and test data appears for each port.
To select another port, touch its icon.
Configure an RJ-45, Auto Negotiation On, Auto Negotiation Off
Configure a 1 GigE SFP port.
Configure a 10 GigE XFP port.
Configure a Port Address if necessary.
Choose a port to test with
Tests can run on all three ports at the same time.
Port1: XFP – 10 GigE test
Port2/3: RJ-45 – 10/100/1000BASE-T test
Port2/3: SFP – 1000BASE-T or 100BASE-FX test
Possible Port Combinations
A Port1: XFP Port2: RJ-45 Port3: RJ-45
B Port1: XFP Port2: RJ-45 Port3: SFP
C Port1: XFP Port2: SFP Port3: SFP
D Port1: XFP Port2: SFP Port3: RJ-45
• Port2/3 can't be selected as RJ-45 and SFP at the same time; only one
interface at a time.
Where do you want to go next?
The Working Desktop
Configure an RJ-45 port.
Configure an SFP port.
Configure an XFP port.
Meas. Setup: Configure measurement parameters
Throughput Test Setup
RFC2544/NE Applications
IP Test Setup
Monitor Setup
Loopback Test Setup
Home
31

XTT 5000 User's Manual
RJ-45 Port Setup: Auto-Negotiation On Home
Select a test from the menu in order to access the port configuration tabs.
Green buttons: On/active
Gray buttons: Off/inactive
Auto Negotiation: The unit will auto-negotiate with the link partner, selecting the
highest mutually compatible rate between the two ports.
• The port settings (including line rate, duplex, pause, etc) are negotiated
following the appropriate IEEE standards.
• See the negotiation results in the field.
Parameter Options Description
Advertisement 10M Half/Full
Duplex, 100M
Half/Full Duplex,
1000M Half/Full
Duplex
The unit can ’advertise’ itself as
running at the rate(s) you select
by pressing the rate buttons.
Pause On, Off Set if the local device will respond
to pause packets.
RJ-45 Polarity Auto, Straight,
Cross
Determine the wiring polarity of
the Ethernet Port.
Pause Frame
Delay
0-335,539 μs Set the length of time indicated
by the Pause frame sent by the
module.
Asymmetric
Pause
Decide if the TX port will send
Pause frames even if the receiver
has disabled.
RJ-45 Port Window
Auto-Negotiations Result field: Presents the auto-negotiations results. The field
appears on the right side of the window.
Where do you want to go next?
RJ45 Port Setup: Auto-Neg Off
Throughput Applications
RFC2544 Applications
Home
32

Port Setup
RJ-45 Port Setup: Auto-Negotiation Off Home
Select a test from the menu in order to access the port configuration tabs.
Auto Negotiation: The unit will auto-negotiate with the link partner, selecting the
highest mutually compatible rate between the two ports.
• The port settings (including line rate, duplex, pause, etc) are negotiated
following the appropriate IEEE standards.
• If you set Auto Negotiation to on, you can set how the XTT 5000 advertises
itself.
When Auto Negotiation is set to Off, configure the following:
Parameter Options Description
Port Rate 10M, 100M, 1000M Set the line rate
Port Duplex Full Duplex, Half
Duplex
Configure the Ethernet mode.
Pause On, Off Set if the local device will respond
to pause packets.
RJ-45
Polarity
AUTO, Straight,
Cross
Determine the wiring polarity of
the Ethernet Port.
Pause
Frame
Delay
0-335,539 Set the length of time indicated by
the Pause frame sent by the
module.
Where do you want to go next?
Throughput Test Setup
RFC2544 Applications
Home
33

XTT 5000 User's Manual
Pause Frame Delay Home
Parameter Options Details
Pause Frame
Delay
0 to 3355
μs
Set the length of time indicated by the
Pause frame sent by the XTT 5000.
On the RJ45 port setup window (Auto-Negotiation off), touch the 'Pause Frame Delay
(μs)' button to access this setting. A number pad appears for you to enter the
number with.
Press to ok your choice.
Where do you want to go next?
Configure an RJ-45 port
Configure an SFP port
Throughput Test Setup
RFC2544 Test Summary
Home
34

Port Setup
Port Pause Home
Parameter Options Details
Port
Pause Off: The test port will
temporarily stop
transmitting upon reception
of pause flow control
frames.
On: The test port will not
stop upon reception of flow
control frames.
Set how the local device will
respond to pause packets.
XTT 5000 will only send pause frames when you choose, and it will send them
when instructed to do so, even if the RX Pause is off.
Where do you want to go next?
Throughput Test Setup
RFC2544 Test Summary
Home
35

XTT 5000 User's Manual
Port Duplex Home
Parameter Options Details
Port
Duplex Half: The local device will attempt to
link up in half-duplex mode. Data
cannot be transmitted and received at
the same time.
Full: The local device will attempt to
link up in full-duplex mode. The data
can be transmitted and received at the
same time.
Configure the
Ethernet mode.
Where do you want to go next?
Throughput Test Setup
RFC2544 Applications
Home
36

Port Setup
Asymmetric Pause Home
On The TX port sends Pause frames even if the receiver has
disabled Pause.
Off The TX port does not sends Pause frames.
The Asymmetric Pause settings only apply to Auto-Negotiation.
You may always transmit pause frames regardless of this setting.
Upon completion of the auto-negotiation information exchange, the arbitration
process determines the highest common mode and enables the appropriate
functions.
Where do you want to go next?
Throughput Test Setup
RFC2544 Test Summary
Home
37

XTT 5000 User's Manual
RJ-45 Port Polarity Home
Determine the wiring polarity of the Ethernet Port.
• Match this setting to your cable type for specific testing purposes, or let the
unit accommodate whatever type of cable you use.
Options: Auto, Straight-through, Cross-over
Auto The unit automatically determines the
polarity of the cable connected to the
Ethernet port.
Straight-
through
Force the Ethernet port to work only with
a straight-through cable.
Cross-
over
Force the Ethernet port to work only with
a cross-over cable.
Where do you want to go next?
Throughput Test Setup
RFC2544 Test Summary
Home
38

Port Setup
SFP Port Configuration Home
Interface: Set the Ethernet interface: Gigabit Ethernet, 100Base FX
Auto-Negotiation: Select ON to auto-negotiate with the link partner, selecting the
highest mutually compatible rate between the two ports.
Parameter Options Details
Pause On, Off Set to On, the unit will not stop transmitting
on receipt of flow control packets.
Pause Frame
Delay
0 to 3355 μs Set the length of time indicated by the Pause
frame sent by the module.
Asymmetric
Pause
On, Off Determine if the TX port will send Pause
frames even if the receiver has disabled Pause.
Auto-Negotiation Result
When Auto-Negotiation is On, view the results of the negotiations. Data includes:
Statistic Details
Line Rate
Duplex XTT 5000 duplex: Half or Full
Link Partner AN Whether the link partner uses Auto-Negotiation; shows as
Disable or Enable.
Local RX, Tx
Pause
Enable or Disable status of pause transmission by XTT
5000.
Remote RX, TX
Pause
Enable or Disable status of link partner's transmission by
XTT 5000.
Status Link status.
Remember to make sure the laser is on for testing.
Where do you want to go next?
Port_Address: Set the local port parameters.
Throughput Test Setup
RFC2544/NE Applications
Loopback Test Setup
Throughput Summary Results
IP Test Setup
IP Testing
Throughput Test Setup
IP Ping Testing
Home
39

XTT 5000 User's Manual
40
XFP Port Setup Home
Touch the Port Button and choose the XFP 10 GigE port.
Select the XFP port for 10 Gigabit testing per applicable IEEE standards.
XTT 5000 supports the 10GE LAN-PHY. The XFP may be the primary or secondary
port.
Parameter Options Description
Pause On: The unit will not stop
transmitting on receipt of
flow control packets.
Off: Transmission stops.
Set the pause transmission
Pause Frame
Delay
0 to 3355 μs Set the length of time indicated
by the Pause frame sent by the
module
Remember to make sure the laser is on for testing.
XTT 5000 support XFP digital diagnostics including:
• XFP Signal Results
• Vendor name
• Wavelength
• Rx optical power
Where do you want to go next?
Throughput Test Setup
RFC2544/NE Applications
Loopback Test Setup
Throughput Summary Results
IP Test Setup
IP Testing
Throughput Test Setup
IP Ping Testing
Home

Throughput Testing
Throughput Applications Home
Select Throughput as the test type on the menu. Before you begin testing, make
sure the link is up.
To send loopback commands in a test, press the 'Loop Control' ( ) button in the
Action Bar.
BERT Applications
Select BERT as the Test Type on the Signal tab.
Layer 1 BERT
Layer 1 testing is used for verifying the quality of the physical layer connection. Most
commonly, this is done for basic point-to-point fiber connections, whether over a
single fiber pair or through a DWDM network.
Layer 2 BERT
Run a BERT between two testers.
Layer 2 testing is often performed to verify the quality of service provided over an
Ethernet network. Unlike a Layer 1 BERT , the Layer 2 BERT generates valid MAC
frames so that the test traffic can traverse through bridges and switches.
Caution: If you are sending packets to your responder via a router or other device
with its own IP address, make sure to set the Dest MAC to the MAC address of the
router, NOT the responder. Otherwise, the router will likely discard the packets
(without ARP in use).If you are staying down at layer 2 (MAC) this does not apply. IP
works fine if all the devices are on the same local network segment; this is applies
when sending traffic off your local network segment.
Where do you want to go next?
Throughput Summary Results
Throughput Aggregate Results
Throughput Stream Results
Throughput Test Setup
Working Desktop
Home
41

XTT 5000 User's Manual
Ethernet Connection Home
Troubleshooting
Extras: ARP Error Message STT Ethernet Connection
Before you begin testing, verify the link.
• Make sure to use the right type of connectors when connecting the test port
to the fiber access point of the network.
• Make sure the laser is turned on.
• Verify the port has a green LINK LED.
• For RJ-45 and SFP ports, if there is no link, then go to the Port window and
set the Auto-Negotiation to Disable (on both units, if applicable). If that
doesn’t work, set Auto-Negotiation to Enable, and configure the test set to
match the DUT settings.
Getting the link up is the most important step in any application, and it can be the
most frustrating. Take the time to ensure the Ethernet tab is properly configured.
You may need to make a change, see what effect that has, make another change,
and so on, until the configuration is correct.
Once you have a green LINK LED, testing is ready to begin.
Troubleshooting an ARP Error Message
The ARP feature makes configuring XTT 5000 easier. ARP takes an IP address and
returns the MAC address of the destination system.
If the unit Failed to resolve the host via ARP, one of two things are likely responsible:
• The IP Address configuration on the test equipment does not match the
network you are testing.
Solution: Enable DHCP if available, or check your network configuration by
pinging your default gateway. If you get no response, your configuration is
invalid.
• The IP Address provided for the destination host is wrong or the host is not on
the network.
Solution: Please check the configuration of the destination host.
From that host, attempt to ping the default gateway to verify network
connectivity.
• XTT-5000 will always ARP for the default gateway. If the ARP fails it will not
affect anything. Requesting the MAC of the default gateway is only required
when sending traffic off of your local Ethernet segment.
Troubleshooting an STT Ethernet Connection
If you are testing using an STT Ethernet there common configuration will cause
problems:
XTT-5000 Throughput --> STT Ethernet
XTT-5000 Throughput <-- STT Ethernet
By default, if you are using Layer 2-4 testing, the XTT-5000 will default to 802.3
framing, and the STT Ethernet will default to Ethernet type II framing.
When sending Throughput (BERT)traffic in both directions, a LOPS error will appear
on one of the units, due to bidirectional traffic.
Where do you want to go next?
42

XTT 5000 User's Manual
Layer 1 BERT Application Home
Layer 1 Throughput testing is used for verifying the quality of the physical layer
connection. Most commonly, this is done for basic point-to-point fiber connections,
whether over a single fiber pair or through a DWDM network.
As test traffic is not passing through a Layer 2 (or higher) device, a Layer 1 test can
be performed with a single STT at one end and a hardware loopback, such as a patch
cord, at the far end.
Alternatively, the test can be performed with two STT units, one at each end of the
connection.
See the Application Diagram.
Many networks, such as Ethernet over SONET/SDH (EOS), are not true Layer 1
networks, in that they require proper Ethernet framing. Only perform a Layer 1 test
when you are certain that framing is not required. Many problems with Layer 1
testing can be corrected by performing a Layer 2 test.
How to Perform Layer 1 BER Testing
1. From the drop down menu, select Throughput as the test type.
2. Configure the port.
RJ-45 - Fast Ethernet
Augo-Negotiation: On
Port Rate: Match the rate of the line under test; 10M, 100M, 1000M
Port Duplex: FULL
Pause: OFF
RJ-45 Polarity: AUTO
Pause Frame Delay: 0 ms
SFP - Gigabit Ethernet
Pause: Off
Pause Frame Delay: 0 ms
XFP - Gigabit Ethernet
Pause: Off
Pause Frame Delay: 0 ms
Remember to make sure the laser is on for testing.
3. Configure the Signal tab.
Test Type: BERT
Test Layer: PRBS + CRC (Layer 1 Framed)
• Set the desired frame size.
Traffic Shape: Constant
• Set the Constant Bandwidth at 100%.
• Use the 2^31 test pattern.
Far End Tester Configuration
• If performing this test between two units back-to-back, configure both units
as above.
• If performing to a software loopback, configure the far end module as follows:
Test Mode: LOOP BACK
Mode: Manual
Layer: Layer 1
44

Throughput Testing
• Otherwise, make sure the far end has a hardware loop back.
Start the test.
Press then to start the BERT .
The Summary Results window will open automatically. Wait a few moments and
you should see ’No Errors’ on the Summary tab.
Where do you want to go next?
Throughput Summary Results
Throughput Aggregate Results
Throughput Stream Results
Working Desktop
Home
45

Throughput Testing
Layer 2 BERT Application Home
In Layer 2 Throughput testing, you can run a BERT between two testers.
See the application diagram.
Layer 2 devices (switches) keep track of MAC address information in order to forward
traffic to the appropriate port, therefore each test set has to be configured with valid
source and destination MAC address.
Layer 2 testing is often performed to verify the quality of service provided over an
Ethernet network. Unlike a Layer 1 BERT, the Layer 2 BERT generates valid MAC
frames so that the test traffic can traverse through bridges and switches.
How to perform Layer 2 BER testing
Local Configuration
1. From the drop down menu, select Throughput as the test type.
2. Configure the port.
RJ-45 - Fast Ethernet
Augo-Negotiation: On
Port Rate: Match the rate of the line under test; 10M, 100M, 1000M
Port Duplex: FULL
Pause: OFF
RJ-45 Polarity: AUTO
Pause Frame Delay: 0 ms
SFP - Gigabit Ethernet
Pause: Off
Pause Frame Delay: 0 ms
XFP - Gigabit Ethernet
Pause: Off
Pause Frame Delay: 0 ms
Remember to make sure the laser is on for testing.
3. Configure the Signal tab.
Test Type: BERT
Test Layer: Layer 2: Framed
• Set the desired frame size.
4. Configure the Stream Table.
5. Configure the Payload tab.
Traffic Shape: Constant
• Set the Constant Bandwidth at 100%.
• Use the 2^31 test pattern.
Far End Tester Configuration
• If performing this test between two units back-to-back, configure both units
as above.
• If performing to a software loopback, configure the far end module as follows:
Test Mode: LOOP BACK
Mode: Manual
Layer: Layer 1
• Otherwise, make sure the far end has a hardware loop back.
47

XTT 5000 User's Manual
Start the test.
Press then to start the BERT. The Summary Results window will open
automatically. Wait a few moments and you should see ’No Errors’ on the Summary
tab.
Where do you want to go next?
Throughput Summary Results
Throughput Aggregate Results
Throughput Stream Results
Home
48

XTT 5000 User's Manual
Throughput Signal Setup Home
The Signal graphic reflects the Ethernet frame; for L2 Framed, many frame elements
may be chosen from; see the Frame Setup tab.
Choose a port and configure the Stream Table (L2 Framed only).
Before you begin testing, make sure the link is up.
Parameter Options Details
Test
Type
BERT: Out-of-service testing; traffic
would be disrupted; perform a
throughput/BER test.
LIVE: Take statistics on frames, but
does not look for pattern
synchronization or bit errors.
Select the type of test.
BERT Note: The key
metrics are utilization
and lost frames. This is
the basic configuration.
Layer L1 64B/66B,L1 8B/10B: Unframed
signal. Continuous bits without
framing, containing 8B/10B line coding
for RJ-45 and SFP ports.
L2 PRBS+FCS: Layer 2 Framed.
The BERT is performed at OSI Layer 1
(physical layer), using the FCS or the
CRC field defined for an Ethernet
frame, without the MAC header.
L2:Framed: The BERT is performed at
OSI Layer 2 (data link).
Select the test layer.
L1: Unframed Note:
Configure the Pattern.
L2: PRBS+FCS Note:
Configure the Pattern
and Traffic Shape.
L2: Framed Note:
Configure the Stream
Table.
To send loopback commands in a test, press the 'Loop Control' ( ) button in the
Action Bar.
To start the test, press 'Apply' ( ), then 'Start' ( ). The results Summary screen
will appear.
Select Throughput from the drop down menu.
Where would you like to go next?
Throughput Applications
Ethernet Frame Type
Throughput Summary Results
Throughput Aggregate Results
Throughput Stream Results
Throughput Test Setup
Working Desktop
Home
50

Throughput Testing
Stream Table Setup Home
• Each stream may be configured independently. See Auto Fill to configure multiple
streams.
• Throughput tests support up to 16 streams. RFC 2544 tests support one stream.
• Visit the Technology Overview for information on frame components and more.
To configure a stream, tap a stream row. The Stream Number X window will pop
up, for configuring the stream in detail. When there are multiple streams, the
window will have scroll arrows for moving between Stream Number x windows.
The Frame Setup tab appears on top. Configure each tab on the window.
MAC in
MAC^
MAC VLAN MPLS IP TCP UDP Payload Traffic
Shape*:
Constant,
Ramp,
Burst
^Available at a future date. *Traffic shaping is not available in Layer
1, Unframed mode.
Rx Filter: Filter on received messages.
Stream Table Buttons
Button Function
'Structure' Tap a frame element in the table to configure the frame.
'Total Streams' View/set the number of streams in use. Use the Total
Streams keypad to enter a new quantity (1-16) of streams
for the table if necessary. The number in use is shown on
the 'Streams' button.
'Remove' Delete the highlighted stream and reduce the total number
of streams by one.
'Auto Fill' Automatically fill in the addresses of all streams in the
table.
'TPID/BERT ID'
Note: This is a
global settings;
all BERT streams
get the same ID.
Edit the TPID directly in the field if required; applies only
when VLAN is in use.
• 8100 is the standard IEEE 802.1Q/802.1P value.
• A TPID is available for each VLAN.
• Technology: VLAN Tagging
BERT ID: Ox40 to 0x8100.
• The XTT 5000 place the BERT ID value in the IP Header
(Identification field) s, the tester can easily identify
whether IP traffic is BERT traffic or not.
Where do you want to go next?
Configure the frame
Throughput Applications
Throughput Summary Results
Throughput Aggregate Results
51

Throughput Testing
Stream Frame Setup Home
On the Stream Table, select a row to configure that stream. Press 'Frame' to set the
frame structure. The frame diagram at the bottom of the screen shows the possible
elements.
Frame Structure Elements
Touch an element to turn it On; a setup tab will appear for that element. Some
elements, such as MPLS and IP, are connected. The graphic at the bottom of the
window reflects the structure in use.
Configure
each tab.
MAC VLAN MPLS IP TCP UDP Payload Traffic
Shape
Green button: On
Gray button: Off; gray writing means the button is unavailable, black writing that it
may be activated/configured.
Dark Gray button: On/Off function. For example, VLAN is ON or OFF.
Press 'Apply to All Streams' to have the selected frame elements used by every
stream in the Stream Table.
Frame Size 34-12,000
bytes,
depending on
the rate*.
Enter the total length of the Ethernet frame in
the number pad which pops up;
* The XTT 5000 allows for undersized and oversized frames.
See the Frame size details table for the maximum and minimum frame sizes.
Frame Length Distribution
Parameter Options Details
Frame Set at Fixed. Select the frame length distribution to use.
Fixed: All frames transmitted will be of the same length, as indicated in the Frame
Size field.
• The most common means of testing a network is to use a fixed frame size. In this
way, the network performance can be characterized for different frame lengths.
• For instance, the frame loss rate may be very different for 64-byte frames than
for 1518-byte frames. By sending only frames 64 (or 1518) bytes long, the frame
loss rate can be calculated for each.
• You will also need to enter the Frame Size.
Where do you want to go next?
Throughput Summary Results
Throughput Aggregate Results
Throughput Stream Results
Home
53

XTT 5000 User's Manual
Stream - Auto Fill Home
On the Throughput Stream Table, press 'Auto Fill' to configure the stream element/s
(MAC, VLAN, etc) of multiple streams at one time.
On the Stream Auto Fill popup, configure the fill parameters:
1. Select the frame element to configure, using the 'Auto Fill Item' button.
2. Enter the required Auto Fill Item data.
Example: if you had pressed 'Auto Fill Item' and selected MAC Destination
(to appear as 'Auto Fill Item MAC Destination'), the button below would
appear as 'MAC Destination'. Press it, then enter the starting MAC
Destination address.
Auto Fill Action
To access all the Auto Fill options, you must have 2 or more streams.
Parameter Details Action
Fixed The frame element settings
will be identical for all
active streams.
Apply the Fixed value to or from
the current stream, or from the
first stream.
Increment The frame element settings
will increase by one each
time.
Press 'From Stream' to enter the
number of the stream to start
applying the Incremented value
from.
Press 'To Stream' to enter the
number of the stream to stop
applying the Incremented value
to.
Decrement The frame element settings
will decrease by one each
time.
Set the 'From Stream' and 'To
Stream' values as described
above.
Random The last several bytes of
the setting are filled with a
random value.
Only the last 1, 2, or 3 bytes of
the frame element address are
determined randomly.
The value of the other bytes is
based on the value entered in the
item button (e.g. 'MAC
Destination' value).
Set the 'From Stream' and 'To
Stream' values as described
above. Addresses are not changed
during the test.
Where do you want to go next?
Stream Table Setup
Throughput Applications
Throughput Summary Results
Throughput Aggregate Results
Throughput Stream Results
Throughput Test Setup
54

XTT 5000 User's Manual
Stream MAC Setup Home
Configure Layer 2 by setting the MAC Source and Destination addresses for the
streams.
Touch a MAC address on the Stream Table to bring up this configuration window;
configure the Source and Destination addresses separately. See Auto Fill to configure
multiple streams.
Parameter Options Details
Frame Type IEEE
802.3,
Ethernet II
Select the Ethernet standard to use.
Ethertype IEEE
802.3:
Ethertype=
Length.
Ethernet
II: 64-
5535.
Enter the
Ethertype
value in its
field.
Choices depend on the Frame Type.
802.3 Note: LLC and SNAP appears.
Some Ethertype values, such as 0800
and AAAA, are considered invalid. To
avoid potential problems with how a
network device interprets the Ethertype
field, 0800 is automatically chosen when
IP is selected for the frame setup.
MAC
Source/Destination
Enter the
address.
Touch the MAC field. Use the number pad
which appears to enter the data.
• Each MAC address source and
destination pair defines traffic flow.
Default MAC
Source
Reset the MAC source address of that port
to the factory set default.
The settings for each port, along with the
factory settings of the MAC addresses can
be found on System>Port Address.
LLC On, Off Toggle the LLC protocol On or Off; 802.3
only.
SNAP On, Off Toggle the LLC protocol On or Off; 802.3
only.
Where do you want to go next?
Throughput Stream Table Setup
Throughput Summary Results
Throughput Aggregate Results
Throughput Stream Results
Home
56

Throughput Testing
Stream - IP Setup Home
Use the IP tab to configure the IP addresses for the stream/s, after selecting UDP as
part of the Frame Setup on the Stream Table. See Auto Fill to configure multiple
streams.
Statistic(s) Options Details
IP Source and IP
Destination
Enter the new IP
address source
and destination
pairs to use.
Enter the address using the pop up
number pad.
• The IP address is the network layer
address that identifies the source
and destination of the test frames.
IP Gateway
(Ver4)
Specify the
gateway
addresses.
Leave the gateway value as
000.000.000.000 to indicate no
gateway.
IP Version IP Version 4, IP
Version 6.
Select the IP Version.
IP Option (Ver4) Yes, No Opt whether or not to include the
"option type" IP header field.
IP Header Length
(Ver4)
Set the number
of 32-bit (4-
byte) words.
These form the header.
• A setting of 5 indicates an IP
header of 20 bytes.
Type of Service
(Ver4)
RFC1349,
RFC2474
Select the Type of Service protocol.
• This selection determines the rest
of the third column.
• See the TOS parameters.
Flag Don’t
Fragment (Ver4)
Yes, No Select whether or not to fragment the
packet.
Flag More
Fragment (Ver4)
1: Additional
fragments follow
the current one;
0: No additional
fragment bits
follow.
The packets generated by the XTT
5000 are never actually fragmented,
even if the fragmentation bits are set
otherwise.
Fragment Offset
(v4)
0-8191 bits Enter the position of the fragment in
the original datagram.
• Leave at 0 if you are unsure of
what to select
Time to Live
(Ver4)
0-255 hops Enter the time to live.
64 and 128 are commonly used.
Protocol (Ver4)
The protocol
value selected
is the number
placed into the
IP header; it
doesn't indicate
View the
originating
protocol module.
Set at TCP in a TCP/UDP
configuration.
• The assigned values are
maintained by the Internet
Assigned Numbers Authority
(IANA) ; available on at
www.ianan.org/assignments/protoc
57

XTT 5000 User's Manual
the proper
datagram or
payload of the
payload.*
ol-numbers. Commonly used
values include 6 (TCP) or 17
(UDP).
* For example, setting the Protocol
field to 001, which indicates an ICMP
payload, does not create an ICMP
payload in the test traffic. This can
cause problems with network
elements who look at the Protocol
field and attempt to process the non-
existent protocol payload.
Flow Label
(Ver6)
20 bits Specifies special router handling,
source to destination(s), for a
sequence of packets.
Next Header
(Ver6)
8 bits Specifies the next encapsulated
protocol, or the presence of an
extension header.
Hop Limit (Ver6) 8 bits Packet TTL count.
Type of Service Parameters
Statistic Options Details
Precedence
(RFC1349)
3 digit value Enter the Precedence using the
number pad.
MBZ 0, 1 Select a MBZ (Must Be Zero) on the
Number Pad.
TOS Value Enter the type of service.
• Leave it at 0 if you are unsure of
what to select.
• See RFC 1349 and RFC 2474 for
technical details.
DSCP (Bits 0-5) Enter the RFC 2474 DSCP bits.
Currently Unused 0,1 for two bits Enter the two bits. Reserved
Where do you want to go next?
Throughput Stream Table Setup
Throughput Summary Results
Throughput Aggregate Results
Tech: IP Overview
Home
58

Throughput Testing
Stream MPLS Setup Home
Activate MPLS
Touch the MPLS 1-3 buttons to turn them On (green) or Off (gray). Label 1 is
required.
MPLS Type: Select the frame type: Unicast, Multicast.
For each label selected , set the following:
Parameter Options Details
ID Up to seven
digits
Enter the next hop label.
Exp Up to seven
digits
Enter the Experimental label.
S One digit Enter the end-of-stack label.
Time to Live 0-255 hops The Time Time to Live label expires at the
conclusion of this number of hops.
MPLS Label Parameters
See Auto Fill to configure multiple streams.
Enable the MultiProtocol Label Switching architecture by pressing MPLS to On on the
Stream Table Frame Setup tab.
See Technology: MPLS for details on the parameters.
Where do you want to go next?
Throughput Stream Table Setup
Throughput Summary Results
Throughput Aggregate Results
Throughput Stream Results
Home
59

XTT 5000 User's Manual
Stream Payload Setup Home
Press 'Payload' on the Stream Table or Pattern on the Signal tab configure the test
payload elements. See Auto Fill to configure multiple streams.
Parameter Options Details
Sunrise Tag
Read the notes.
None, SN/TS, STAG Enable useful proprietary
tagging, or not.
Tag: SN/TS On, Off Sequence Number + Time
Stamp; select for compatibility
with STT Ethernet.
The SN/TS tags include a
sequence number and a time
stamp; enable both of these
fields on the XTT Ethernet.
Tag: STAG On, Off Sequence Number + Time
Stamp + Sunrise Tag 5 bytes
(Reserved).
Select for maximum usefulness
of proprietary tagging.
Invert On, Off The selected test pattern will
be transmitted inverted.
Pattern Type 2^31, 2^23, 2^20,
2^15, 1111, 1010,
0000. User, User
1024*
Select a test pattern to perform
a BERT with.
Not all patterns are available
for all configurations.
(User) Pattern
Data 1-32
Enter the four-byte test pattern
in hexadecimal format with the
number pad.
• Edit each line directly.
• Use the 'Next/Previous
Patterns' button to access
the next screen of patterns.
User Pattern
Type DATA
DEC:The payload is
filled with
decremental bytes.
INC: The payload is
filled with
incremental bytes:
00 01 02 03…
Define how a User pattern will
fill the payload.
After selecting User as the
Pattern Type, tap 'Pattern Data'
and use the keypad which pops
up to enter the test pattern.
'Apply to All Streams'
button
Apply the Tag, Type, and Pattern selections to all of the
streams in the table.
Press to apply the new settings and close the window.
Where do you want to go next?
Throughput Stream Table Setup
Throughput Summary Results
60

XTT 5000 User's Manual
Stream Rx Filter Home
To enable filtering, select the Rx Filter tab on the Stream Number x window from the
Stream Table. The filter specifies the frame elements that will be captured.
Turn an element On to filter for that element.
• For example, if you sent Source MAC on, only packets which match the
Stream Table Source Mac settings will be captured.
• Set to Off, packets would be captured regardless of their Source MAC
address.
Testing Tips
Most testing is done with a loopback unit at the other end. In a Layer 2/3 loopback,
the Source and Destination MAC/IP will be swapped so the traffic can be returned to
the test set. Layer 1 does not touch the traffic it simply copies the input to the
output. Hence, configuring the RX Filter Source/Destination requires careful
consideration. The behavior of the unit with multiple streams can also be
complicated.
If you are sending two streams to the same Destination MAC, with differing Source
MAC addresses, the stream data may be captured in unexpected ways.
Example 1
Stream 1
Source MAC: 00::02
Destination MAC: 00::01
Stream 2
Source MAC: 00::03
Destination MAC: 00::01
Without the Rx Filter in use, both streams
will be detected normally.
Example 2
Stream 1
Destination MAC Rx Filter
All the traffic from both Stream 1 and
Stream 2 will appear in the Stream 1
results; no traffic appears for Stream 2.
Be aware of this when troubleshooting
traffic. Try rule 1 then rule 2 etc for each
frame.
In addition, the Destination is best ignored. This is because the Source MAC
addresses are different. When they arrive at the loopback device, they will be
swapped, making the SRC the DUST, and vice versa. Now the return frames have
different Destinations with the same Source.
Where do you want to go next?
62

XTT 5000 User's Manual
Sunrise Tags Notes Home
Important Sunrise Tag Notes
When Sunrise tags are enabled, a sequence number will be inserted in the payload
of each frame. The sequence number will allow you to detect the number of lost
frames, latency checking, and other important information. This is a Sunrise Telecom
proprietary feature.
• A frame loss can only be detected when the BERT is running between two
Sunrise Telecom Ethernet testers (XTT 5000, STT or MTT) with the sequence
number tags enabled on each side.
• Measurements will only display counters for Lost Frames, Duplicate Frames,
and Out-of-Sequence frames if a Sunrise Tags is used.
• If a stream as enabled SN/TS of the Sunrise Tag and receives STAG on the
incoming traffic, it will lose pattern sync. The reverse is not true; a stream set
for STAG will achieve pattern sync if the incoming stream has a SN/TS tag.
• XTT 5000 measures the time it takes for each test frame to pass through the
DUT. The value reported for latency only applies when the far end is in
loopback mode.
• If two test units are performing and end-to-end Throughput test with the
Sunrise Tag enabled, the displayed latency results will not be accurate.
Where do you want to go next?
Stream Payload Setup
Throughput Stream Table Setup
Throughput Summary Results
Throughput Aggregate Results
Throughput Stream Results
Home
64

Throughput Testing
Stream Traffic Shape Setup Home
Traffic Shape: Select the frame length distribution to use.
Constant Traffic is transmitted at a constant rate (from
0.01% to 100.00% bandwidth) for the entire
duration of the test.
Ramp The traffic is transmitted at a variable rate from
Start Bandwidth (between 0.00% and
100.00%) to Stop Bandwidth (between 0.00%
and 100.00%), with increments of Step Size
(between 0.01% and 100.00%).
The ramp is repeated for the duration of the
test if Repeat is checked.
Burst With Burst traffic, traffic is transmitted at a
variable rate. Traffic is transmitted at Burst 1
Bandwidth rate (from 0.00% to 100.00%) for
Burst 1 Duration seconds, then at Burst 2
Bandwidth rate (from 0.00% to 100.00%) for
Burst 2 Duration seconds.
Gigabit Ethernet has a minimum burst of
0.01%. This sequence is repeated for
the duration of the test.
Traffic shaping is not available in Layer 1, Unframed mode.
On the Stream Table, select a row to determine the traffic shape for that stream.
Press 'Traffic Shape' to select the frame length distribution to use.
XTT 5000 will generate constant traffic rates from 0.01% up to 100.00% of line rate,
and a constant traffic down to 56 kbps.
XTT 5000 will generate constant traffic down to 1 kbps; however, under 0.01%
bandwidth, only a single stream can be supported.
Where do you want to go next?
Throughput Applications
Throughput Summary Results
Throughput Aggregate Results
Throughput Stream Results
Throughput Test Setup
Stream - Table - Setup
Home
65

XTT 5000 User's Manual
Stream - Burst Traffic Shape Setup Home
From the Throughput Stream Table,press 'Traffic Shape' and select Burst to
configure Burst traffic
With Burst traffic, traffic is transmitted at a variable rate.
Traffic is transmitted at Burst 1 Bandwidth rate (from 0.00% to 100.00%) for Burst 1
Duration seconds, then at Burst 2 Bandwidth rate (from 0.00% to 100.00%) for
Burst 2 Duration seconds.
Gigabit Ethernet has a minimum burst of 0.01%. This sequence is repeated for the
duration of the test.
Parameter Options Details
Rate Percentage, IPG (ns), Bit
Rate
Determine the traffic rate.*
Rate:
Perc
enta
ge
0.01% to 100.00% Ethernet traffic is expressed in
terms of the percentage of
bandwidth used.
At 100%, the gap between frames
is at its minimum. As the
percentage is reduced, the IPG is
increased.
Rate:
IPG
(ns)
The minimum IPG is 12
bytes or 96 bit times.
The interpacket gap (IPG) is the
delay between successive frames.
Rate:
Bit
Rate
The bit rate, given as a number of
kbps, is a direct function of the
bandwidth percentage.
Because the frame length can be
random, there is no fixed
relationship between bit rate and
data rate.
Burst
Bandwidth
1/2
Enter the size of the burst the XTT
5000 will transmit.
Burst
Duration 1/2
Enter the number of seconds the
first or second burst of traffic will
last.
* When changing units from Percentage to IPG to Bit Rate, the display will reset back
to the last value entered for those units.
Burst Bandwidth Accuracy
The accuracy of the burst bandwidth is reduced when the burst duration is shorter
than the time to send approximately 100 frames at 100% bandwidth. The minimum
recommended durations follow:
Burst Size Duration
64 bytes 0.0051 ms
1519 bytes 0.0121 ms
4096 bytes 0.3278 ms
12000 bytes 0.9600 ms
Minimum Burst Durations
66

Throughput Testing
Example: Sending a 1510 byte burst at a burst duration of 0.0051 ms would likely
lead to inaccurate results.
Where do you want to go next?
Throughput Stream Table Setup
Throughput Applications
Throughput Summary Results
Throughput Aggregate Results
Throughput Stream Results
Throughput Test Setup
Home
67

XTT 5000 User's Manual
Stream - Constant Traffic Shape Setup Home
From the Throughput Stream Table Traffic Shape tab or via Signal 'Traffic Shape',
configure the traffic.
Parameter Options Details
Constant
Bandwidth
0.00% to
100.00%
Enter the percentage of bandwidth which will
be constantly filled directly in the field.
Rate Percentage,
Bit Rate, IPG
(ns)
Determine the traffic rate.
When changing units from Percentage to IPG
to Bit Rate, the display will reset back to the
last value entered for those units.
Percentage Range:
0.01% to
100.00%
Commonly, Ethernet traffic is referred to in
terms of the percentage of bandwidth used.
At 100%, the gap between frames is at its
minimum.
As the percentage is reduced, the IPG is
increased.
IPG (ns) Set the interpacket gap.
The minimum IPG is 12 bytes or 96 bit times.
Bit Rate The bit rate, given as a number of kbps, is a
direct function of the bandwidth percentage.
1 kbps corresponds to 0.00001% of a 10GE
LAN interface.
Because the frame length can be random,
there is no fixed relationship between the bit
rate and the data rate.
Press to apply the new settings and close the window.
Where do you want to go next?
Throughput Stream Table Setup
Throughput Applications
Throughput Summary Results
Throughput Aggregate Results
Throughput Stream Results
Throughput Test Setup
Home
68

Throughput Testing
Stream - Ramp Traffic Shape Setup Home
From the Throughput Stream Table or Pattern on the Signal tab, press 'Traffic Shape'
to configure the traffic.
The traffic is transmitted at a variable rate from Start Bandwidth (between 0.00%
and 100.00%) to Stop Bandwidth (between 0.00% and 100.00%), with increments
of Step Size (between 0.01% and 100.00%).
Parameter Options Details
Rate Percentage, IPG
(ns), Bit Rate
Determine the traffic rate.*
Rate:
Percentag
e
0.01% to
100.00%
Ethernet traffic is expressed in terms of
the percentage of bandwidth used.
At 100%, the gap between frames is at
its minimum. As the percentage is
reduced, the IPG is increased.
Rate:
IPG (ns)
The minimum IPG
is 12 bytes or 96
bit times.
The interpacket gap (IPG) is the delay
between successive frames.
Rate:
Bit Rate
The bit rate, given as a number of kbps,
is a direct function of the bandwidth
percentage.
Because the frame length can be
random, there is no fixed relationship
between bit rate and data rate.
* When changing units from Percentage to IPG to Bit Rate, the display will reset back
to the last value entered for those units.
The following parameters are explained in terms of percentages, but would appear as
ns or kpbs if Percentage was not selected as the Rate.
Parameter Options Details
Start
Bandwidth Enter the bandwidth percentage the XTT 5000
will start transmitting at the beginning of the
test.
Stop
Bandwidth Enter the bandwidth percentage where the
XTT 5000 will stop ramping. After
transmitting at this bandwidth (e.g. 100%)
for the determined Step Duration, the unit
will continue transmitting frames at this
maximum rate.
Step Duration 1-60
seconds
Number of seconds the XTT 5000 will
transmit each bandwidth step.
The time scale on the graph is based on this
unit of time.
Step
Bandwidth Enter the bandwidth percentage the unit will
increase each step up.
Where do you want to go next?
Throughput Stream Table Setup
Throughput Applications
69

Throughput Testing
Stream - VLAN Setup Home
Touch each tag you want to use on the Stream Table. VLAN 1 is set on. For VLAN2
and VLAN3, the labels toggle from Off to On, and the color changes to green. A gray
VLAN Off button means that tag is not in use. See Auto Fill to configure multiple
streams.
Parameter Options Details
TPID 0x40 to
0x8100
Edit the TPID if required
8100 is the standard IEEE 802.1Q/802.1P value.
PRI 0-7 Enter the User Priority value, per IEEE 802.1Q.
• User Priority 0 is the default for Ethernet
networks.
• The Number Pad will appear to facilitate numeric
entry.
The Priority Table shows the traffic types by
priority.
CFI 0, 1 The CFI should almost always be set to 0 to be
compatible with Ethernet switches.
ID 0-2045 Enter the optional Virtual LAN tags into the field for
each stream.
VLAN tags conform to IEEE 802.1Q and IEEE
802.1P.
Where do you want to go next?
Stream TPID/BERT ID Setup
Throughput Stream Table Setup
Throughput Summary Results
Throughput Aggregate Results
Tech: Ethernet Overview
Home
71

XTT 5000 User's Manual
Stream - TCP Setup Home
Use the TCP tab to configure the TCP ports and header, after selecting UDP as part of
the Frame Setup on the Stream Table. See Auto Fill to configure multiple streams.
Selecting TCP puts a TCP header into the IP packet datagram but does not
establish a true TCP connection with the far end. This ”static TCP” is useful for
entering a proper TCP port value to pass traffic through firewalls and similar security
features on a router, but does not test a live TCP connection.
Parameter Options Details
UDP Source 0x1 to 0xFFFF Enter the port address,using the pop up
number pad.
UDP Destination 0x1 to 0xFFFF Enter the port address,using the pop up
number pad.
Column 2: TCP Header Config
Statistic Meaning
UDP Source Enter the port address,using the pop up number pad; 0x0
to 0xFFFFFFFF.
Acknowledgement
Number
Expected next Sequence Number, sent by receiver.
Data Offset (4
bits)
Size of TCP header; also offset of the packet to the data.
Reserved 6 bits Normally unused: set to 0.
URG Enter the value for the Urgent Pointer Control Bit.
PSH Enter the value for the Push Function Control Bit.
RST Enter the value for the Reset the connection Control Bit.
SYN Enter the value for the Synchronize sequence number
Control Bit.
FIN Enter the value for the No more data from sender Control
Bit.
Window Size
(Hex)
Increase the TCP congestion window size up to 1 Gb;
*0x0x to 0xFFFF
Where do you want to go next?
Throughput Stream Table Setup
Throughput Summary Results
Throughput Aggregate Results
Throughput Stream Results
Home
72

Throughput Testing
Stream - UDP Setup Home
Use the UDP tab to configure the UDP ports and header, after selecting UDP as part
of the Frame Setup on the Stream Table. See Auto Fill to configure multiple streams.
UDP Source: Enter the port address,using the pop up number pad; 0x1 to 0xFFFF
UDP Destination: Enter the port address,using the pop up number pad; 0x1 to
0xFFFF
Where do you want to go next?
Throughput Stream Table Setup
Throughput Summary Results
Throughput Aggregate Results
Throughput Stream Results.
Home
73

XTT 5000 User's Manual
Summary Results Home
Get an overview of the Throughput test results.
It may take a few seconds for results to appear after starting a test.
The left side of the window displays:
Elapsed Time: How long the test has been running.
Remaining Time: How long remains in a scheduled test, or Continuous.
Banner: A message summary banner of the status of the test. It reports any errors
or alarms, along with a date and time stamp.
Below the banner, view a list of logged events: received errors and/or alarms, e.g.
Lost Frame, including a count of the number of errors, with a resolution of one
second.
The right side of the window shows more specific results.
In a Live throughput test, statistics are taken on frames, but the test does not look
for pattern synchronization or bit errors (no Bit statistics appear).
For a Monitor test, only receive (RX) statistics are reported.
Status: Statistics status.
Statistic Meaning
TX Utilization Transmitted bandwidth as a percentage of maximum
traffic rate (minimum frame gap).
TX Line Rate Transmitted bit rate (in kbps, bps, etc.) of the Ethernet
frames, ignoring the frame gap, preamble, and SAD. The
data rate is always less than the line rate.
TX Data Rate Transmit data rate (in kbps, bps, etc.). This includes the
frame headers but not the IPG or Preamble. Thus, the
data rate reflects both the frame rate and frame size.
RX Utilization Received bandwidth as a percentage of maximum traffic
rate (minimum frame gap).
RX Line Rate Received bit rate, based on the current utilization.(in kbps,
bps, etc.).
RX Data Rate Received bit rate of the Ethernet frames, ignoring the
frame gap, preamble, and SAD. The data rate is always
less than the line rate (in kbps, bps, etc.).
Signal The signal information (vendor, wavelength, optical power,
etc.) is provided by the SFP/XFP module. Not all
manufacturers supply this information, and Sunrise
Telecom Inc. is not responsible for modules provided by
other vendors.
• Vendor: Name of the vendor;
• Wavelength: Optical wavelength is use at the
port.
• RX Optical Power: Received uW and dBm.
Where do you want to go next?
Throughput Aggregate Results
Throughput Stream Results
74

XTT 5000 User's Manual
Summary Notes Home
The Throughput Summary results window includes banners and event status reports.
Status Banners
Banner Meaning Color
MEAS STOPPED No test is underway Yellow
banner
NO ERRORS Test is underway with no
errors or alarms
Green
banner
ERRORS/ALARMS Errors or alarms currently
received in the test
Red banner
ERRORS
HISTORY
Test underway; errors or
alarms were received in the
past, but are not currently
being received
Red banner
NO BERT
TRAFFIC
Either the RX Rate is zero or
the received traffic does not
match the stream table
settings for that port
Yellow
banner
NO LINK The Ethernet link is down Red banner
Events
• REC Start: Start recorded
• REC Stop: Stop recorded
• Link Up
• Link Down
Throughput Summary Results
Where do you want to go next?
Tech: Multicast Frames
Summary Results
Aggregate Results
Working Desktop
76

XTT 5000 User's Manual
Aggregate Results Home
View information on errors received, and frame statistics, for a Throughput, Monitor,
Ping, or RFC2544 test.
• For the following test frame types, view the frame count or Current frame
rate (frames per seconds, the Average frame rate (fps) at which the error
was received, and possibly the Utilization rates (percentage of bandwidth).
Counts and rates may show for the Transmit and/or Receive directions.
• Not all statistics will show for all ports or setups.
• In Live and Monitor Test Modes, only Receive Statistics appear.
• For information about frame component usage, see the Ethernet Technology
Overview.
Total Frames Number of received/transmitted frames.
Total Bytes Number of received/transmitted bytes.
Frame Rate
Current/Average/
(fps)
Current rate at which frames are being transmitted
and received at this second.
Frame Rate
Minimum/Maximum
(fps)
Minimum or maximum transmitted and received
frames per second since the beginning of the test.
Line Rate Transmitted and Received data rates.
Data Rate Transmit data rate (in kbps, bps, etc.). The data rate
includes the frame headers but not the IPG or
Preamble. Thus, the data rate reflects both the frame
rate and frame size.
Utilization Current
(%) Percentage of current/average/Minimum/Maximum
bandwidth in use.
Frame Sizes Count of frames of each size: Under 64 Bytes/64
Bytes/65-127/128-255/256-511/512-10234/ 1024-
1518/ Over 1518 Bytes (aka jumbo frames).
Undersized Frames Tip
Bit Error Count of the number of bit errors since the beginning
of the test.
Service Disruption Packet interval (ms) detected during the
measurement. This is a very precise disruption
measurement.
Non Test Traffic Number of received frames that do not match the
ports Stream Table, such as live traffic. Multicast and
broadcast frames are reported as non-test frames.
Consult the Stream Table.
Pause Frames Count of received pause frames.
FCS/CRC Errors Frame Check Sequence or Cyclic Redundancy Check
errors.
Unicast Count of Layer 2 Unicast frames transmitted and
received.
Multicast Count of Layer 2 multicast frames transmitted and
received.
78

Throughput Testing
Test Frames Count of Frames which match the Stream Table.
Non Test Frames Count of Frames that do not match the ports Stream
table, such as live traffic. Multicast and broadcast
frames are reported as non-test frames. Consult the
Stream Table.
Unicast Test
Frames Count of unicast test frames.
Broadcast Test
Frames
A broadcast frame is a frame that is intended for all of
the devices on the network, the destination MAC
address is set to ‘FF-FF-FF-FF-FF-FF’.
Keep Alive Mac
Frames Count of frames with MAC Keep Alive frames.
Invalid Mac Frames Count of frames with invalid MAC addresses.
Good Frames Count of unerrored frames.
Error Frames Count of errored frames.
Frame Rate Current
(fps)
Number of frames currently received per second.
Total VLAN Frames Frames containing VLAN tags.
Single-Tagged
VLAN Frames
Frames containing one VLAN tag.
Multi-Tagged VLAN
Frames
Frames containing more than one VLAN tag.
MPLS Frames Frames containing MPLS tags.
IPv4 Frames Frame
Rate
IP version 4 frames.
Unicast IPv4
Frames
Unicast IP version 4 frames.
Multicast IPv4
Frames Multicast IP version 4 frames.
Broadcast IPv4
Frame
Broadcast IP version 4 frames.
IPv6 Frames IP version 6 frames.
Unicast IPv6
Frames Unicast IP version 6 frames.
Multicast IPv6
Frames Multicast IP version 6 frames.
TCP Frames Frames containing Layer 4 Transmission Control
Protocol.
UDP Frames Frames containing Layer 4 User Datagram Protocol.
Pause Frames Pause flow control frames.
Frame Gap IPG/IFG delay between successive frames.
Avg Service
Disruption Events
Average duration of packet intervals.
Latency Latency measurement.
LOS Loss of Signal (Seconds).
LOSync Loss of Synchronization; count of Events, Aggregate
totals, Minimum/Maximum/Current/Average
IP Checksum Error Number of IP checksum errors received.
79

XTT 5000 User's Manual
TCP Checksum
Error
Number of TCP checksum errors received.
UDP Checksum
Error Number of UDP checksum errors received.
Lost SN Error Frames where the Sequence Number was lost
Out of Sequence
Error:
Frames which arrive out of numerical sequence.
Where would you like to go next?
Throughput Applications
Ethernet Frame Type
Throughput Summary Results
Throughput Aggregate Results
Throughput Stream Results
Throughput Test Setup
Home
80

Throughput Testing
Thoughput Stream Results Home
• Results apply to the stream number highlighted at the top of the screen.
• Press another stream button to see results for another active (orange)
stream.
• For information about frame component usage, see the Ethernet Technology
Overview.
Statistic Details
Total Frames Number of received/transmitted frames.
Total Bytes Number of received/transmitted bytes.
• Frame Rate Current (fps), Average (fps), Minimum
(fps),Maximum (fps)
• Utilization Current (%)/Average (%)/Minimum
(%)/Maximum (%)
Line Rate Transmitted and Received data rates.
Data Rate Transmit data rate (in kbps, bps, etc.). The data rate
includes the frame headers but not the IPG or Preamble.
Thus, the data rate reflects both the frame rate and
frame size.
Frame Sizes Count of frames of each size.
• Frame Size Under 64 Bytes/64 Bytes/65-127/128-
255/256-511/512-10234/ 1024-1518/ Over 1518
Bytes
Test Frames
For the following test frame types, view the frame count or Current frame rate
(frames per seconds) and the Average frame rate (fps). Counts and rates may show
for the Transmit and/or Receive directions. Not all statistics will show for all ports or
setups.
See the Aggregate Results for the most of the statistics. Here are a few differences
Statistic Details
Bit Error Count of bit errors.
Current Bit Count of the number of bit errors since the beginning of
the test.
Bit Error Ratio
BER Bit error ratio since the beginning of the test.
LOP(s) Count of number of seconds containing Loss of Pattern.
No BERT Traffic
(s) Seconds containing no BERT traffic.
Frame Interval Average: The frame interval averaged all received frames.
Frame Interval Technology Note
Frame Interval Minimum: Smallest frame interval observed during the
measurement.
Frame Interval Maximum: The maximum frame interval observed during the
measurement.
81

XTT 5000 User's Manual
Frame Interval Variation: The maximum frame interval minus the minimum frame
interval. This measurement is equivalent to a one-point frame delay variation or
frame jitter measurement.
Where would you like to go next?
Throughput Summary Results
Throughput Aggregate Results
Throughput Stream Results
Throughput Test Setup
Throughput Applications
Ethernet Technology Overview
Home
82

Throughput Testing
Throughput Non Test Stream Results Home
Non Test Stream traffic gives statistics on traffic which does not meet the Stream
Table configurations.
Totals
Statistic Details
Total
Frames
Number of received/transmitted frames.
Total Bytes Number of received/transmitted bytes.
• Frame Rate Current (fps), Average (fps), Minimum
(fps),Maximum (fps)
• Utilization Current (%)/Average (%)/Minimum (%)/Maximum
(%)
Line Rate Transmitted and Received data rate (in kbps, bps, etc.).
The data rate includes the frame headers but not the IPG or
Preamble. Thus, the data rate reflects both the frame rate and
frame size.
Data Rate Transmit data rate (in kbps, bps, etc.). The data rate includes the
frame headers but not the IPG or Preamble. Thus, the data rate
reflects both the frame rate and frame size.
Frame
Sizes
Count of frame types of each size.
• Frame Size Under 64 Bytes/64 Bytes/65-127/128-255/256-
511/512-10234/ 1024-1518/ Over 1518 Bytes
Test Frames
For the following test frame types, view the frame count or Current frame rate
(frames per seconds) and the Average frame rate (fps). Counts and rates may show
for the Transmit and/or Receive directions. Not all statistics will show for all ports or
setups.
• Unicast
• Multicast
• Broadcast
• Invalid MAC Frames
• Total VLAN Frames
• Single-Tagged VLAN Frames
• Multi-Tagged VLAN Frames
• IPv4/6 Frames:Count/Unicast/Multicast/Broadcast
• TCP Frames
• UDP Frames
Statistic Meaning
Bit Error Count of bit errors
Current Bit Count of the number of bit errors since the beginning of
the test.
Bit Error Ratio
BER
Bit error ratio since the beginning of the test.
LOP(s) Count of number of seconds containing Loss of Pattern.
No BERT Traffic Seconds containing no BERT traffic.
83

XTT 5000 User's Manual
84
(s)
Frame Interval
Minimum
Smallest frame interval observed during the
measurement.
Frame Interval
Maximum
The maximum frame interval observed during the
measurement.
Frame Interval
Variation
The maximum frame interval minus the minimum frame
interval. This measurement is equivalent to a one-point
frame delay variation or frame jitter measurement.
Frame Interval Technology Note
Where would you like to go next?
Throughput Summary Results
Throughput Aggregate Results
Throughput Stream Results
Throughput Test Setup
Throughput Applications
Ethernet Technology Overview
Home

RFC2544/NE Testing
RFC2544 Applications Home
XTT 5000 uses UDP echo request frames, as specified by RFC2544.
See the application diagram.
RFC2544 Throughput Test
RFC2544 is an automated test which will transmit a variety of frame lengths at
different frame rates to find the optimal performance of the device under test (DUT).
The signal configuration is the same as BERT, but without the need to specify frame
length, traffic setting, or test pattern. The Test Layer selection and Stream Table for
RFC2544 is identical to that for BERT.
To configure an RFC2544 throughput test, select RFC2544NE Test as the test
mode on the drop down menu. Configure the Layer and Filter Selection (if desired).
Only 1 stream is allowed.
RFC2544 NE Stress Test
In a Network Element (NE) stress test, tests are performed incrementally for each
frame size. NE tests are particularly useful for longer burn-in tests.
To configure an NE stress test, select RFC2544.NE Test as the test mode on the
drop down menu, then set the Test Mode to NE Test on the Test Sequence tab. On
the Throughput Latency tab, set the Starting and Stop Rates as well as the Step
Size.
Press then on the Action Bar to start a test.
Where do you want to go next?
RFC2544 Throughput Test Setup
RFC2544 NE Stress Test Configuration
RFC2544 Applications
RFC2544 Summary Results
IP Test Setup
Throughput Test Setup
Home
85

RFC2544/NE Testing
RFC2544 Test Notes Home
Test Types Latency Frame Loss Rates
Test Layers
RFC2544 is designed for Layer 2 and Layer 3 devices. As such, each test frame must
have a valid MAC header, preamble, and interpacket gap. For testing Layer 3
devices, such as routers, a valid IP header is also required.
Though VLAN support is not mentioned in RFC 2544, VLAN-based services should
include the appropriate VLAN tags. Unframed testing, where the payload data is not
encapsulated into a valid Ethernet frame, is not compatible with RFC2544 device
testing.
XTT 5000 uses a frame payload that consists of a sequence number, a time stamp,
and a test pattern specified by the user. The sequence number and time stamp are
used to accurately measure lost frames and latency, respectively.
Frame Sizes
The standard frame sizes for Ethernet testing are 64, 128, 256, 512, 1024, 1280,
and 1518 bytes. With systems that support jumbo frames, such as 4096- or 9000-
byte frames, these frame sizes should be tested as well. The XTT 5000 defaults to
the frame size defined in RFC 2544, but allows you to set the frame size to any valid
value.
RFC2544 Test Types
Throughput
The throughput test determines the maximum frame rate without lost frames the
DUT can manage. The test begins at 100% frame rate by sending a predetermined
number of frames, or, more commonly, sending the frames for a predetermined
length of time. If any frames are lost, the test is repeated at a lower frame rate. This
process continues until the maximum throughput is determined.
Sunrise Telecom uses a binary search algorithm for determining the throughput. The
standard test method reduces the throughput by a set increment, such as 10%. This
is not the most efficient algorithm available especially for determining the throughput
with a better resolution, such as 1%. The binary search changes the throughput
value by ever decreasing increments: 50%, 25%, etc. The throughput is increased or
decreased depending on the results of the previous test. The algorithm continues to
run until the throughput is determined to within the specified resolution, typically 1%
to 10%.
Latency
The standard latency test is to run test traffic at the predetermined throughput rate
or two minutes, and measure the latency of a single tagged frame sent at least one
minute into test. The reported latency is the average of twenty such tests.
Strict adherence to the standard would require 280 minutes, over four hours, to
complete for all frame sizes. The XTT 5000 provides the option to instead perform a
'Quick Latency” test that eliminates the need to run a separate and time consuming
latency test. During the throughput test, the latency of the test frames is measured
87

XTT 5000 User's Manual
and averaged. Results from failed throughput tests are discarded. The latency results
from the highest successful throughput test are kept and reported. Latency results as
a function of frame size and throughput are tabularized.
Frame Loss Rate
The frame loss rate test plots the frame loss as a function of utilization. Similar to
the throughput test, the test begins at 100% frame rate by sending a predetermined
number of frames, and recording the percentage of lost frames. The bandwidth is
reduced by a preset amount, 10% or less, and the test is repeated. If two successive
trials result in no frame loss, the lower rates are not tested and assumed to have
zero frame loss. This test is repeated for each frame size.
Where do you want to go next?
RFC2544 Throughput Test Setup
RFC2544 NE Stress Test Configuration
Home
88

RFC2544/NE Testing
RFC2544 Throughput Application Home
Test Notes
The following sample test presumes the use of an RJ-45 port for a RFC2544
throughput test. The test operates between two XTT modules or two test ports on
the same module. Configure your RJ-45 or SFP port, then follow this procedure.
See the application diagram.
1. From the menu, select RFC2544/NETEST as the test type. The Test Sequence tab
will open.
2. Configure the Test Sequence tab. Tap the button for each test you want to run.
A. Select Throughput, Latency, and Frame Loss.
3. Configure the Throughput/Latency tab.
Duration: Enter a Time of 10 seconds; longer values will increase testing
time proportionately.
When performing delay measurements over a network with more than 1
ms of delay, the average reported delay may be smaller than the minimum
reported delay. Use the Maximum delay as the benchmark for delay testing.
Starting Rate: 100%.
Resolution: As desired—1% is typical.
4. Configure the Latency tab.
• Select Frame Loss.
5. Configure the Frame tab.
• Check 64, 128, 256, 512, 1024, 1280, and 1518.
• Selecting fewer frames will decrease testing time proportionately.
6. Configure the Frame Loss tab.
Duration: Enter a Time of 10 seconds; longer values will increase testing
time proportionately.
-- Starting Rate: 100%.
-- Step size: As desired; 10% is typical.
7. Configure the second test port or the far end module with a software loopback as
follows:
Menu test type: Loopback
--Mode: Manual
--Layer: Layer 2
8.Press then on the Action Bar to start the RFC2544 tests. The Summary
measurement window will open automatically after a few moments.
Where do you want to go next?
RFC2544 NE Stress Test Configuration
RFC2544 Applications
RFC2544 Summary Results
RFC2544 Thruput Latency Results
RFC2544 Frame Loss Chart Results
Aggregate Results
Home
89

XTT 5000 User's Manual
RFC2544 Test Sequence Home
Select RFC2544/NE Test as the test type on the Menu to perform RFC-2544 tests.
Use the 'Loop Control' ( ) button to set a loop if necessary.
Left Column - Test Basics
Type: Determine the type of RFC2544 test to perform.
• An RFC2544 test tests a device by transmitting various frame lengths at
different rates to find the maximum throughput rate.
• An NE test stresses a NE at a variety of rates, which you define.
Run Continuously: N/A. The RFC2544 test will run continuously when this is set to
On.
• Once the test sequence is completed, the module will run the sequence again
without saving the test results. This allows RFC2544 to be used as a long
term test.
Estimated Test Time: View an estimation of how long it will take to run theselected
tests, in a days, hours, minutes format.54qaz\`z`QRFTG12Choose the Tests to Run
To select a throughput or NE test to run, press its button to turn it On. The
Estimated Test Time reflects the predicted test run time for the tests selected.
• You may run several tests in sequence.
Trial
Description Set at On, the RFC2544 Trial Description runs before the main
test starts. If it fails, no further testing occurs.
Throughput This test uses a binary search to determine the maximum traffic
rate (expressed as a percentage) the DUT can pass without
losing any frames.
Latency Determines the round trip delay of the frame through the DUT.
Latency Mode:
• Standard follows the guidelines of RFC 2544, which
can take several hours for a complete test.
• Quick measures the round trip delay while it is
performing the Throughput test and takes no extra
time. Results from failed throughput tests are
discarded, and only the results from the highest
successful throughput test are kept and recorded.
Frame Loss Generates a table that shows the percentage of lost frames as a
function of frame rate, expressed as a percentage.
Back to
Back
Determines the maximum number of frames sent back to- back
at 100% frame rate that the DUT can process without losing
frames
DUT Type Select the type of far end device under test: ROUTER or
BRIDGE.
Multi-Port
View or set the port connections. RFC-2544 tests require the use of two ports. RFC
2544 may be run between two different ports such as:
XFP - SFP
XFP - RJ-45
SFP - SFP
SFP - RJ-45
90

RFC2544/NE Testing
RJ-45 – RJ-45
• If you need to change the connection, touch first the TX port, then the RX
port you want to have work with it.
• Pair the TX port with the matching RX port, unless otherwise indicated by
your design.
• Active ports are shown in green; you may not reassign those ports.
The most common method of using RFC2544 for testing Ethernet services, as
opposed to Ethernet devices, is to transmit frames through the network to the far
end, where they are looped back and sent back to the test module. In this
configuration, the TX and RX test port should be the same.
However, there are times when the TX and RX test port need to be different, such as
when testing a switch or when the TX and RX line rates are different. For example, if
you were to transmit from a 10GE port to a GE port, the throughput rate couldn’t be
higher than 10%, since 1 Gigabit Ethernet is 10% of the bandwidth of 10 Gigabit
Ethernet.
Where do you want to go next?
RFC2544 Throughput Test Setup
RFC2544 NE Stress Test Configuration
RFC2544 Applications
RFC2544 Summary Results
IP Test Setup
Throughput Test Setup
Home
91

XTT 5000 User's Manual
RFC2544 Throughput Latency Home
Select RFC2544/NE Test as the test type on the Menu to perform RFC-2544 tests.
Set the Throughput/NE parameters, and the Latency parameters. Press to save
the configuration.
Throughput - NE
Parameter Options Details
Duration TIME
FRAMES
Set how measurements will be taken.
TIME: Base measurements on a length of time.
FRAMES: Base measurements on a number of
frames
Frames • N/A FE
• GigE
Options:
10,000-
1,000,000
• 10GE
Options:
10,000-
10,000,00
0
Duration = Frames
Time 4-60 seconds Duration = Time
Starting Rate .01-100% Set the rate at which frames will begin being
transmitted.
• 100% is a good starting rate for a standard
RFC test, recommended in RFC 2544.
• For NE testing, select the rate applicable to
your setup.
Stop Rate
(N/A
RFC2544
test)
01-100% Set the rate at which frames will stop being
transmitted. 100% is typical.
Resolution
(N/A NE Test)
01-100% Determine measurement precision.
• 1% is typical; you can go as precise as .01%
(very precise tests take longer to run).
• The search algorithm continues until the step
between two consecutive tests is lower than
this specified resolution.
Rate Step
Size *
(N/A
RFC2544
test)
01-100% Each step increases (or decreases) the traffic
rate by the specified amount. The NE Test tests
the throughput and/or latency at different test
rates and gives the result for each one.
*RFC2544 specifies a default resolution of 10%. This means if the true throughput
rate of the DUT was 98.5%, the test would report 90%. In some cases, higher
precision is required, hence the default for the test set is set to 1.0%.
Make sure to set the Starting and Stop Rates when configuring an NE test.
92

RFC2544/NE Testing
Latency
Parameters Options Details
Latency Standard follows RFC 2544
guidelines, which can take
several hours for a complete
test.
Quick: Performs the latency
test at the same time as the
Throughput test.
Determine the round trip
delay of the frame
through the DUT.
The Quick test takes no
extra time.
Standard Latency
Latency measures the time it takes for the test frame to pass through the device
under test. The latency of each frame is measured.
Duration: Determine for how long each frame size will be transmitted.
See the Starting Rate, Stop Rate parameters above.
Rate Step Size (N/A RFC2544 test): Each step increases (or decreases) the traffic
rate by the specified amount. The NE Test tests the throughput and/or latency at
different test rates and gives the result for each one.
Warm-up: Determine the amount of time to transmit frames before taking the
latency measurement.
RFC 2544 recommends 60 seconds.
Repetitions: Determine the number of repetitions taken for averaging.
RFC 2544 recommends 20 repetitions.
Where do you want to go next?
RFC2544 Applications
RFC2544 NE Stress Test Configuration
RFC2544 Summary Results
Home
93

XTT 5000 User's Manual
RFC2544 NE Test Configuration Home
Test Notes
See the application diagram.
RFC2544 NE Stress Test
To stress an RFC2544 network element, tests are performed incrementally for each
frame size. This is a burn-in test.
1. Tap the Menu button, and select RFC2544/NE TEST.
2. On the Test Summary tab:
• Tap Type and select NE TEST.
• Tap Throughput to turn that test On.
3. On the Throughput tab, set
Starting Rate: 10%
Stop Rate: 100%
Step size: 10%
4. Press 'Start' in the Action Bar to being the test.
5. View the results.
Where do you want to go next?
RFC2544 Throughput Test Setup
RFC2544 Applications
RFC2544 Summary Results
Home
94

RFC2544/NE Testing
RFC2544 Frame Sizes Thresholds Home
XTT 5000 defaults to the standard frames sizes: 64, 128, 256, 512, 1024, 1280,
1518, 4096, 8192, 12,000.
The Frame Length row shows frame sizes in bytes.
• Check the corresponding box above for each frame size you want to test.
• The default frame sizes are based on RFC 2544, but all are user-configurable.
To Edit Frame Sizes and Thresholds
1. Press 'Thresholds' at the bottom of the screen to enable thresholds.
2. Place a check in the box for each frame size you want to test.
3. Click on the Frame Sizes row you want to configure. The Frame Size &
Thresholds window pops up.
• 'Frame Length': Set the required frame size using the number pad.
Options: 34-12,000 frames.
• 'Throughput': Configure the required Throughput percentage using the
number pad.
Options: 1-100 percent.
• 'Latency (ms)': Configure the allowable Latency, using the number
pad.
Options: 1-100 ms
• On the Frame Size & Thresholds window, touch .
Non-standard (user) frame sizes are used to test frame sizes that are outsized, such
as a jumbo or undersized frames.
When testing with VLAN and/or MPLS tags, 64 bytes is no longer a proper frame
length, and it does not appear on the list of frame sizes. However, it can be
added using the Custom Frame Size field.
Press the button when you are ready to save the configuration.
These thresholds have no direct effect on the RFC2544 Throughput or Latency
results. They are intended to go beyond the RFC2544 standards and provide a
means to standardize minimum acceptable results of these tests.
Select RFC2544/NE Test as the test type on the Menu to perform RFC-2544 tests.
Where do you want to go next?
RFC2544 Throughput Test Setup
RFC2544 NE Stress Test Configuration
RFC2544 Applications
RFC2544 Test Sequences
RFC2544 Summary Results
Home
95

XTT 5000 User's Manual
RFC2544 Back-to-Back Testing Notes Home
At the start of the test, the XTT 5000 will send frames back-to-back for the specified
duration.
• If the test runs without losing frames, the duration will be increased and the
test redone until frames are lost or until the maximum duration is reached.
• If frames are lost, the duration will be reduced until no frames are lost.
• This cycle will continue until the specified resolution is reached.
• Once completed, this is counted as one repetition; the test is then repeated,
starting at the original duration, for the number of repetitions specified.
Where do you want to go next?
RFC2544 Back-to-Back Setup
RFC2544 Throughput Test Setup
RFC2544 NE Stress Test Configuration
RFC2544 Applications
RFC2544 Summary Results
Home
96

RFC2544/NE Testing
RFC-2544 Frame Loss & Back to Back Setup Home
Configure the RFC-2544 frame loss and back-to-back tests. Press to save the
configuration.
Frame Loss - NE
Parameters Options Details
Duration Time: Base measurements
on a length of time (1-99,999
seconds), which you enter at
the 'Time' button.
Frames (N/A FE): Base
measurements on a number
of frames, which you enter at
the 'Frames' button.
Set how measurements will
be taken.
Starting
Rate
.01-100% Set the rate at which frames
will begin being transmitted.
The rate recommended by
RFC2544 is 100%.
Rate Step
Size
.01-100% Determine the size
(percentage) of each rate
step.
• The RFC 2544 default is
steps of 10%.
Back to Back
Back-to-Back testing determines the maximum number of frames sent back-to-back
at 100% frame rate that the DUT can process without losing frames.
Back-to-Back Testing Notes
Parameters Options Details
Time
Duration
2-100
seconds
Enter the amount of time the frames will be
sent initially.
Max
Duration
2-100
seconds
Enter the longest amount of time, in seconds,
the frames will be sent back-to-back.
• In a perfect network, the duration is
infinite, so the maximum duration is used
to place a realistic cap on the time it takes
to run the test.
Repetitions 1-100 Enter the number of times the test will be run.
• The average result will be taken over all
repetitions. Each repetition of the test can
include many cycles of changing the
duration and the number of frames sent.
Where do you want to go from here?
RFC2544 Latency Configuration
97

RFC2544/NE Testing
Stream Table Setup Home
• Each stream may be configured independently. See Auto Fill to configure multiple
streams.
• Throughput tests support up to 16 streams. RFC 2544 tests support one stream.
• Visit the Technology Overview for information on frame components and more.
To configure a stream, tap a stream row. The Stream Number X window will pop
up, for configuring the stream in detail. When there are multiple streams, the
window will have scroll arrows for moving between Stream Number x windows.
The Frame Setup tab appears on top. Configure each tab on the window.
MAC in
MAC^
MAC VLAN MPLS IP TCP UDP Payload Traffic
Shape*:
Constant,
Ramp,
Burst
^Available at a future date. *Traffic shaping is not available in Layer
1, Unframed mode.
Rx Filter: Filter on received messages.
Stream Table Buttons
Button Function
'Structure' Tap a frame element in the table to configure the frame.
'Total Streams' View/set the number of streams in use. Use the Total
Streams keypad to enter a new quantity (1-16) of streams
for the table if necessary. The number in use is shown on
the 'Streams' button.
'Remove' Delete the highlighted stream and reduce the total number
of streams by one.
'Auto Fill' Automatically fill in the addresses of all streams in the
table.
'TPID/BERT ID'
Note: This is a
global settings;
all BERT streams
get the same ID.
Edit the TPID directly in the field if required; applies only
when VLAN is in use.
• 8100 is the standard IEEE 802.1Q/802.1P value.
• A TPID is available for each VLAN.
• Technology: VLAN Tagging
BERT ID: Ox40 to 0x8100.
• The XTT 5000 place the BERT ID value in the IP Header
(Identification field) s, the tester can easily identify
whether IP traffic is BERT traffic or not.
Where do you want to go next?
Configure the frame
Throughput Applications
Throughput Summary Results
Throughput Aggregate Results
99

RFC2544/NE Testing
RFC2544 Summary Results Home
View the overall RFC2544 results, including a Status report, such as "Pass” or "Fail"
NE test results include the throughput status for each frame rate, with "Pass” or
"Fail" result.
For Throughput, the "Pass/Fail” message is an indication of whether or not any
frames were lost during the test. This has no bearing on the Thresholds set in the
configuration.
Left Side Results Table
Statistic Meaning
Seq# Sequence number denoting the order and repetitions of the tests.
Test Type of test.
Size Frame size under test.
Rate The throughput rate currently being tested is reported, in
percentage of bandwidth.
Frames Number of frames tested. Applies to Back-to-Back frames test.
Status Test status; pass/fail, percentage of frames lost.
Status
Statistic Meaning
RT Remaining Time for the test in progress. Once the test is
completed, the results of the test will be indicated.
TX
Utilization Transmitted percentage bandwidth utilization
TX Line
Rate Transmitted data rate (in kbps, bps, etc.).
TX Data
Rate Transmit data rate (in kbps, bps, etc.).
RX
Utilization Received percentage bandwidth utilization.
RX Line
Rate Receive data rate (in kbps, bps, etc.).
RX Data
Rate Receive data rate (in kbps, bps, etc.).
Signal
The signal information for optical interfaces (vendor, wavelength, optical power, etc.)
is provided by the SFP module. Not all manufacturers supply this information, and
Sunrise Telecom Inc. is not responsible for modules provided by other vendors.
• Vendor: Name of the vendor;
• Wavelength: Optical wavelength is use at the port.
• RX Optical Power: Received uW and dBm.
Where do you want to go next?
RFC2544 Summary Results
101

RFC2544/NE Testing
RFC2544 Thruput Latency Results Home
View the throughput and latency results for each selected frame size, in tabular
form. Latency results are shown by frame size and throughput.
• Quick Latency: Results from the highest successful throughput test.
• Standard Latency: Runs traffic at the set throughput rate for two minutes,
measuring the latency of a single tagged frame sent a minute into the test;
the reported latency is the result of twenty such tests.
Frame Size: Frame size, in bytes.
Throughput: Throughput Percentage, and In Progress/Pass/Fail/No Link Status.
• The rate passes if it meets or exceeds the Throughput standard.
Latency: View the Average, Maximum, and Minimum latency results in
microseconds, and the link Status for each frame size.
Where do you want to go next?
RFC2544 Summary Results
RFC2544 Throughput Chart Results
Aggregate Results
RFC2544 Throughput Test Setup
RFC2544 NE Stress Test Configuration
RFC2544 Applications
Home
103

XTT 5000 User's Manual
RFC2544 Frame Loss Table Results Home
• View the percentage of frames of each size lost for the indicated input rate.
• Frames are plotted as a function of bandwidth utilization.
• See the Frame Loss Chart for a graphical representation of the results.
Where do you want to go next?
RFC2544 Throughput Test Setup
RFC2544 NE Stress Test Configuration
RFC2544 Applications
RFC2544 Summary Results
IP Test Setup
Throughput Test Setup
Home
104

RFC2544/NE Testing
RFC2544 Back-to-Back Table Results Home
This function determines the maximum number of frames sent back-to-back with
minimal IPG (in other words, at 100% frame rate) that the DUT can process without
losing frames.
The test begins with a specified number of frames and repeats with more or fewer
frames until it determines the maximum number. As always, this is repeated for
each frame size.
• The Average, Minimum, and Maximum number of frames processed without
error for each frame size is shown in the table.
Where do you want to go next?
Configure an RJ-45 port.
Configure an SFP port.
Meas. Setup: Configure measurement parameters
Throughput Test Setup
RFC2544/NE Applications
IP Test Setup
Monitor Setup
Loopback Test Setup
Home
105

XTT 5000 User's Manual
RFC2544 Thruput Chart Results Home
The graph presents Throughput results.
• Horizontal axis: Size of each frame under test
• Vertical axis: Frame rate (percentage of 100% maximum).
Each result is the maximum throughput rate for the frame size.
See the Throughput/Latency tab for exact values.
If you use very small values, you will need to zoom in to see the results.
Where do you want to go next?
RFC2544 Summary Results
RFC2544 Throughput Latency Results
RFC2544 Throughput Chart Results
RFC2544 Aggregate Results
RFC2544 Throughput Test Setup
RFC2544 NE Stress Test Configuration
RFC2544 Applications
Home
106

RFC2544/NE Testing
Aggregate Results Home
View information on errors received, and frame statistics, for a Throughput, Monitor,
Ping, or RFC2544 test.
• For the following test frame types, view the frame count or Current frame
rate (frames per seconds, the Average frame rate (fps) at which the error
was received, and possibly the Utilization rates (percentage of bandwidth).
Counts and rates may show for the Transmit and/or Receive directions.
• Not all statistics will show for all ports or setups.
• In Live and Monitor Test Modes, only Receive Statistics appear.
• For information about frame component usage, see the Ethernet Technology
Overview.
Total Frames Number of received/transmitted frames.
Total Bytes Number of received/transmitted bytes.
Frame Rate
Current/Average/
(fps)
Current rate at which frames are being transmitted
and received at this second.
Frame Rate
Minimum/Maximum
(fps)
Minimum or maximum transmitted and received
frames per second since the beginning of the test.
Line Rate Transmitted and Received data rates.
Data Rate Transmit data rate (in kbps, bps, etc.). The data rate
includes the frame headers but not the IPG or
Preamble. Thus, the data rate reflects both the frame
rate and frame size.
Utilization Current
(%) Percentage of current/average/Minimum/Maximum
bandwidth in use.
Frame Sizes Count of frames of each size: Under 64 Bytes/64
Bytes/65-127/128-255/256-511/512-10234/ 1024-
1518/ Over 1518 Bytes (aka jumbo frames).
Undersized Frames Tip
Bit Error Count of the number of bit errors since the beginning
of the test.
Service Disruption Packet interval (ms) detected during the
measurement. This is a very precise disruption
measurement.
Non Test Traffic Number of received frames that do not match the
ports Stream Table, such as live traffic. Multicast and
broadcast frames are reported as non-test frames.
Consult the Stream Table.
Pause Frames Count of received pause frames.
FCS/CRC Errors Frame Check Sequence or Cyclic Redundancy Check
errors.
Unicast Count of Layer 2 Unicast frames transmitted and
received.
Multicast Count of Layer 2 multicast frames transmitted and
received.
107

XTT 5000 User's Manual
Test Frames Count of Frames which match the Stream Table.
Non Test Frames Count of Frames that do not match the ports Stream
table, such as live traffic. Multicast and broadcast
frames are reported as non-test frames. Consult the
Stream Table.
Unicast Test
Frames Count of unicast test frames.
Broadcast Test
Frames
A broadcast frame is a frame that is intended for all of
the devices on the network, the destination MAC
address is set to ‘FF-FF-FF-FF-FF-FF’.
Keep Alive Mac
Frames Count of frames with MAC Keep Alive frames.
Invalid Mac Frames Count of frames with invalid MAC addresses.
Good Frames Count of unerrored frames.
Error Frames Count of errored frames.
Frame Rate Current
(fps)
Number of frames currently received per second.
Total VLAN Frames Frames containing VLAN tags.
Single-Tagged
VLAN Frames
Frames containing one VLAN tag.
Multi-Tagged VLAN
Frames
Frames containing more than one VLAN tag.
MPLS Frames Frames containing MPLS tags.
IPv4 Frames Frame
Rate
IP version 4 frames.
Unicast IPv4
Frames
Unicast IP version 4 frames.
Multicast IPv4
Frames Multicast IP version 4 frames.
Broadcast IPv4
Frame
Broadcast IP version 4 frames.
IPv6 Frames IP version 6 frames.
Unicast IPv6
Frames Unicast IP version 6 frames.
Multicast IPv6
Frames Multicast IP version 6 frames.
TCP Frames Frames containing Layer 4 Transmission Control
Protocol.
UDP Frames Frames containing Layer 4 User Datagram Protocol.
Pause Frames Pause flow control frames.
Frame Gap IPG/IFG delay between successive frames.
Avg Service
Disruption Events
Average duration of packet intervals.
Latency Latency measurement.
LOS Loss of Signal (Seconds).
LOSync Loss of Synchronization; count of Events, Aggregate
totals, Minimum/Maximum/Current/Average
IP Checksum Error Number of IP checksum errors received.
108

RFC2544/NE Testing
109
TCP Checksum
Error
Number of TCP checksum errors received.
UDP Checksum
Error Number of UDP checksum errors received.
Lost SN Error Frames where the Sequence Number was lost
Out of Sequence
Error:
Frames which arrive out of numerical sequence.
Where would you like to go next?
Throughput Applications
Ethernet Frame Type
Throughput Summary Results
Throughput Aggregate Results
Throughput Stream Results
Throughput Test Setup
Home

IP Ping Testing
IP Testing Home
The IP test tests end-to-end connectivity between active IP stations, providing
various performance related statistics. This feature includes four generic testing
methods (IP Test Types) for IP networks:
• Ping Test: Commonly used to discover whether two remote LAN segments,
using TCP-IP protocol, are connected
• Trace Route Test: Trace the route to the far end device
• FTP: Web transfer testing.
• HTTP: Web access testing.
Ping and trace route tests typically requires two XTT 5000 modules, or a XTT 5000
and a MTT-28 or -29 module. However, the ping test can also be used to ping a
distant router directly, provided its IP address or URL are known, and the end router
has been configured to respond to pings. Also note that some networks are set to
not allow ping packets through. In that case, this test will not provide useful
results.
See the application diagram.
Caution: If you are sending packets to your responder via a router or other
device with its own IP address, make sure to set the Dst MAC to the MAC address
of the router, NOT the responder. Otherwise, the router will likely discard the
packets (without ARP in use).If you are staying down at layer 2 (MAC) this does not
apply. IP works fine if all the devices are on the same
local network segment; this is
ent.
To perform IP testing, select IP TEST from the menu
applies when sending traffic off your local network segm
.
menu
IP Ping Test Application
1. From the drop down , select IP TEST as the test type.
2. Configure the port.
RJ-45 - Fast Ethernet
he rate of the line under test; 10M, 100M, 1000M
Full
Augo-Negotiation: On
Port Rate: Match t
Port Duplex:
Pause: OFF
RJ-45 Polarity: AUTO
Pause Frame Delay: 0 ms
SFP - Gigabit Ethernet
Interface: Gigabit Ethernet or 100Base FX; different parameters apply
atch the rate of the line under test; 10M, 100M, 1000M
e Delay: 0 ms
up
Augo-Negotiation: On
Port Rate: M
Pause: Off
Asymmetric Pause: Off
Pause Fram
Laser: On
2. Configure the IP Set tab:
IP Test Type: PING.
Source IP Mode: Select the network *addressing system* as required
111

XTT 5000 User's Manual
• If connected to a DHCP network, selecting DHCP will configure the IP Address
Subnet, Gateway, and possibly D
,
NS if Auto (DHCP) is checked as well. If Auto
, as well as
t
Note: The DHCP Status, if enabled, will appear in the DHCP Status field.
or Static Source IP Mode.
s:Enter the unit's IP source address.
.000.000.
wish to
ping a URL rather than an IP address.
1-3 VLAN tags, and configure them
(DHCP) is not checked, then a static IP address must be entered
he Subnet mask and Gateway.
• For DHCP networks, see the Details field for more information.
• Configure the remaining IP Setup items f
STATIC SOURCE IP MODE Parameters
Source IP Addres
Gateway: Enter the STT gateway address. If there's no gateway, enter
000.000
Subnet: Enter the STT subnet mask value. 255.255.255.000 is the most common
value.
DNS: Enter the IP address of the DNS server. This is only required when you
VLAN: If required, select appropriately.
Procedure, continued
3. Select the Ping Setup tab.
Ping Delay: 50-1000 ms; this is the delay between pings—affects the rate.
Ping Rate: 1-20; this is the rate at which pings are transmitted. Typical values used
the Ping Delay
ter the length of the ping; 64 bytes is common.
is also used frequently.
he Time to Live value (in hops).
th: Set to Off..
n
are 500 ms delay of 2 pings per second. This is read only, based on
setting.
Frame Length: En
# Ping Packets: Enter a number of pings of which the test will consist; 4 is
common, though
Continuous: Send pings continuously. Continuous
Time to Live (TTL): Enter t
Time Out: Enter the time-out period, in seconds
Ping of Dea
Destinatio IP Address: Use the Number Pad to enter the IP address to send the
ping to.
4. Press then on the Action Bar to begin the IP test. Measurement wind
include: Ping Result, Ping De
ows
tails and TX and RX Statistics.
e test.
d
lts.
• Go to the Ping Detail tab to get additional details on the transmitted ping
ou want to go next?
• Look for the Ping messages in the Status field. This lets you track the
progress of th
• View the Ping results on the right side of the window, under Round Trip an
• Ping Resu
packets.
Where do y
IP Test Setup
IP Testing
Throughput Test Setup
RFC2544 Applications
Home
112

IP Ping Testing
IP Setup Tab Home
IP Setup
Parameter Options Details
Source IP Mode DHCP: The test port will obtain an IP
source and gateway address from a
DHCP server. A status field shows the
message exchange, under 'Detail'.
Static: Manually assign the network
parameters;the port will use the same
IP address each time it connects.
Set how the unit
will obtain an IP
source and
gateway
address.
DHCP Note:
Press 'Reset' to
start the process
over.
Source IP Enter the static IP address to use for
the test port.
Static only.
Gateway Specify the gateway address. Static only.
Subnet Mask Specify the subnet mask. Static only.
The default is
255.255.255.0.
DNS Specify the DNS server address. Static only.
IP Test Type Ping Test: Verify and test IP
connectivity.
Trace Route: See each hop of the test
route; only a subset of the remaining
items will apply.
Choose the type
of IP test to run.
Configure the
test tab.
VLAN Setup
To add (turn On) VLAN tags, touch the corresponding VLAN button.
• Up to three VLANS are available.
• Enter the TPID, PPI, CFI, and VLAN ID for each VLAN; touch a button, then use
the number pad to enter the data. See Tech: VLAN Tagging for technology
information.
IP Test Basics
Select IP TEST as the test type from the menu, to perform an IP test. Select the IP
Setup tab to configure the IP setup.
Where do you want to go next?
IP Testing
Throughput Test Setup
RFC2544 Applications
Tech: IP Overview
Home
113

XTT 5000 User's Manual
Ping Setup Home
Verify connectivity to the far end network.
Parameter Options Details
Ping Rate
pings/s
1-20 pings per
second
Set the rate at which pings are sent.
Frame Length GigE, 100Base
FX: 64-1550
bytes
10GigE: 68-
3004 bytes
Set the length of the ping frame.
# Ping Packets 1-9999 pings,
Continuous
Set the number of pings the module
will send during the test.
Time to Live
(TTL)
1-256 hops Set the time to live. This places an
effective maximum on the number of
hops to the destination device.
Time Out 1-5 seconds Set how long the XTT 5000 will wait
for a response to a ping before timing
out.
Destinations 1-10
destinations
Set the number of addresses pings
will be sent to. A corresponding
number of IP/URLs will become
available.
Continuous On: Green when
active.
Off: Red when
switched off after
being active.
Sends pings continuously for the
duration of the test.
Destination IP/URL Selection
Touch a button to configure a ping destination; the number corresponds to the
'Destinations' setting.
For each ping destination, enter the DNS name/URL (e.g. www.pingme.org) or IP
address (e.g. 123.123.123.23) on the number pad which pops up.
After pressing on the number pad and returning to the Ping Setup screen, press
'Save' to save this address for future use.
IP/URL Buttons
Save Saves the current IP destination address(es) to a
list for future use.
Restore Select a previously saved IP address from a list.
Keyboard On: When you click a Destination IP/URL button, it
brings up a keyboard to type either number or
letter. In this case you can enter URL:
www.sunrisetelecom.com, or enter the IP address,
such as 192.168.3.1
Off: Only a number pad appears for address entry;
you can only enter numerical IP addresses, such as
“192.168.3.1”
114

IP Ping Testing
Ping Test Basics
Select IP TEST as the test type from the menu, then select PING as the IP Test Type
on the IP Setup tab, in order to send an ICMP echo message of "echo request" to
another device.
Select the Ping Setup tab to configure the IP setup.
Where do you want to go next?
IP Test Setup
IP Testing
Throughput Test Setup
RFC2544 Applications
Home
115

XTT 5000 User's Manual
IP Summary Results Home
The top left of the window displays test status:
Elapsed Time: How long the test has been running.
Remaining Time: How long remains in the scheduled test, or Continuous.
Banner: A message summary banner of the status of the test. It reports any errors
or alarms, along with a date and time stamp.
Below the banner, view a list of logged events: received errors and/or alarms, e.g.
Lost Frame, including a count of the number of errors, with a resolution of one
second.
The right side of the window shows more specific results.
Status
Even though the test set generates pings, there are circumstances which cause the
pings not to be sent. For example, the port could lose link or be paused, preventing
the transmission of the Ethernet frames in which the ping packets reside. In these
situations, the number of pings sent will not be displayed to avoid confusion.
Parameter Details
TX
Utilization Transmitted bandwidth as a percentage of maximum traffic rate
(minimum frame gap)
TX Line
Rate Transmitted bit rate (in kbps, bps, etc.) of the Ethernet frames,
ignoring the frame gap, preamble, and SAD. The data rate is
always less than the line rate.
TX Data
Rate
Transmit data rate (in kbps, bps, etc.). This includes the frame
headers but not the IPG or Preamble. Thus, the data rate
reflects both the frame rate and frame size.
RX
Utilization
Received bandwidth as a percentage of maximum traffic rate
(minimum frame gap).
RX Line
Rate
Received bit rate, based on the current utilization (in kbps, bps,
etc.).
RX Data
Rate
Received bit rate of the Ethernet frames, ignoring the frame
gap, preamble, and SAD. The data rate is always less than the
line rate (in kbps, bps, etc.).
Press on the Action Bar to start a test.
Where do you want to go next?
Ping Trace Route Results
Ping Test Results
IP Test Setup
IP Testing
Throughput Test Setup
RFC2544 Applications
Home
116

IP Ping Testing
IP Aggregate Results Home
View information on received errors, and presents frame statistics.
The top line of the results tables shows you the port number and the type of test the
statistics are for (e.g: PING or TRACEROUTE).
Both the specific count of the error and the average rate at which the error was
received may be displayed for each type of error. Frame statistics are shown for both
the transmit direction and the receive direction, as appropriate.
For both the Transmit and Receive directions, view the Total number of frames
transmitted/received, and the Current, Minimum, Maximum and Average Frame
Rates, as well as the Current, Minimum, Maximum and Average Data Rate. Results
are aggregate totals since the beginning of the test, for all test streams and live
traffic.
Statistic Details
Total Frames Number of received/transmitted frames.
Total Bytes Number of received/transmitted bytes.
Frame Rate Transmitted and received frames per second.
Frame Rate Current: Current rate at which frames are
being TX and RX at
Frame Rate Average: Average transmitted and received
frames per second over the duration of the test.
Frame Rate Minimum: Minimum TX and RX frames per
second since the beginning of the test.
Frame Rate Maximum: Maximum TX and RX frames per
second since the beginning of the test.
Utilization Percentage of bandwidth in use: Current, Maximum,
Minimum, and Average usages.
Line Rate Transmitted bit rate, based on the current utilization.
Data Rate Transmitted bit rate of the Ethernet frames, ignoring the
frame gap, preamble, and SFD. The data rate is always less
than the line rate.
Frame Size
Under 64
Bytes
Number of undersized/fragmented frames with a length of
less than 64 bytes.
Some VLAN and MPLS frames may be undersized even if
they fall within standard Ethernet frame sizes. For example,
a 64-byte frame with VLAN is too short—the length must be
at least 68 bytes.
• For Unframed tests, only Bit Errors are reported.
FS 64 bytes Count of frames with a length of 64 bytes.
FS 65-127 Count of frames with a length of 65-127 bytes.
FS 128-255
bytes Count of frames with a length of 128-255 bytes.
FS 256-511 Count of frames with a length of 256-511 bytes.
FS 512-1023 Count of frames with a length of 512-1023 bytes.
FS 1024-
1518 Count of frames with a length of 1024-1518 bytes.
FS Over 1518 Count of jumbo frames with a length of 1519 or more bytes.
Test Frames View statistics on frames matching the stream table.
117

XTT 5000 User's Manual
Frame Rate Current (fps):Current rate at which frames are
being transmitted and received at this second.
Frame Rate Average (fps): Average transmitted and
received frames per second over the duration of the test.
Utilization Current (fps):Current percentage of bandwidth
in use.
Utilization Average (fps):Average Percentage of bandwidth
in use.
Non Test
Frames Number of received frames that do not match the ports
Stream Table, such as live traffic. Multicast and broadcast
frames are reported as non-test frames.
Frame Rate Current (fps):Current rate at which non-test
frames are being transmitted and received at this second.
Frame Rate Average (fps): Average transmitted and
received non-test frames per second over the duration of the
test.
Utilization Current (fps):Current percentage of non-test
bandwidth in use.
Utilization Average (fps):Average Percentage of non-test
bandwidth in use.
Unicast Number of Layer 2 unicast frames transmitted and received.
View the Current and Average Unicast Test Frame rates,
and the Current and Average unicast bandwidth
utilization.
Multicast Number of Layer 2 multicast frames transmitted and
received.
Multicast Test Frame rates, and the Current and Average
multicast bandwidth utilization.
Broadcast
Test Frames Number of broadcast frames transmitted and received. A
broadcast frame is a frame that is intended for all of the
devices on the network, the destination MAC address is set to
'FF-FF-FF-FF-FF-FF’.
View Broadcast Test Frame rates and the Current and
Average multicast bandwidth utilization statistics.
Invalid MAC
Frames: Number of MAC frames which don't match the Stream Table.
View Invalid MAC Frames Current and Average Frame
rates, and the Current and Average Invalid MAC Frames
bandwidth utilization statistics
Good Frames Number of frames which match the Stream Table.
View Good Frames Current and Average Frame rates, and
the Current and Average Good Frames bandwidth
utilization statistics.
Error Frames Number of frames containing errors.
View Error Frames Current and Average Frame rates,
and the Current and Average Error Frames bandwidth
utilization statistics.
Total VLAN
Frames Number of frames containing VLAN tags.
View Total VLAN Frames Current and Average Frame
rates, and the Current and Average Total VLAN Frames
bandwidth utilization statistics.
Single Tag Number of frames containing exactly one VLAN tag.
118

IP Ping Testing
VLAN Frames View Single Tag VLAN Frames Current and Average
Frame rates, and Current and Average Single Tag VLAN
Frames bandwidth utilization statistics.
Multi-Tagged
VLAN Frames Number of frames containing exactly more than one VLAN
tag.
View Multi-Tagged VLAN Frames Current and Average
Frame rates, and the Current and Average Multi-Tagged
VLAN Frames bandwidth utilization statistics.
MPLS Frames Number of frames containing MPLS labels.
View MPLS Frames Current and Average Frame rates,
and the Current and Average MPLS Frames bandwidth
utilization statistics.
IPv4 Frames Number of frames containing version 4 IP.
View: IPv4 Frames Current and Average Frame rates
IPv4 Current and Average IPv4 Frames bandwidth
utilization statistics.
IPv4 Multicast Current and Average Frame Rates, as
well as Current and Average utilization rates.
IPv4 Broadcast Current and Average Frame Rates, as
well as Current and Average utilization rates.
TCP Frames Number of frames containing TCP.
View TCP Frames Current and Average Frame rates, and
the Current and Average TCP Frames bandwidth
utilization statistics.
UDP Frames Number of frames containing TCP.
View UDP Frames Current and Average Frame rates,
and the Current and Average UDP Frames bandwidth
utilization statistics
Pause
Frames Count of received pause frames.
Frame Gap View the Minimum, Maximum, and Average frame gap.
The minimum IPG is 12 bytes or 96 bit times.
Service
Disruption
Events
Count of received service disruptions.
Service Disruption Duration: The longest packet interval
detected during the measurement is displayed in
microseconds.
Service Disruption Min/Max/Avg: Minimum, Maximum,
and Average disruptions.
Latency
Min/Max/Avg Measures the time it takes for each test frame to pass
through the device under test. Sunrise Tagging required.
View Minimum, Maximum, and Average statistics.
These measurements assume a loopback at the far end. If
you have two units back to back, the latency results will be
erroneous.
LOS Count of the number of times signal has been lost (LOS).
LOSS Count of seconds of loss of signal: Minimum, Maximum,
Current and Average.
LOSync Count of the number of times synchronization has been lost
View the Seconds and Min, Max, Current, and Average counts
of LOSync.
FCS/CRC Count of frames containing FCS/CRC error codes.
119

XTT 5000 User's Manual
Error FCS/CRC Error Current and Average Frame rates, and
the Current and Average FCS/CRC Error bandwidth
utilization statistics.
IP Checksum
Error Count of frames containing IP Checksum error codes.
IP Checksum Error Current and Average Frame rates,
and the Current and Average IP Checksum Error
bandwidth utilization statistics.
UDP
Checksum
Error
Count of frames containing UDP Checksum error codes.
UDP Checksum Error Current and Average Frame rates,
and the Current and Average UDP Checksum Error
bandwidth utilization statistics.
Lost SN Error Count of frames with no sequence number.
Lost SN Error Current and Average Frame rates, and the
Current and Average Lost SN Error bandwidth
utilization statistics
Out of
Sequence
Error
Count of frames received out of sequence.
Out of Sequence Error Current and Average Frame
rates, and the Current and Average Out of Sequence
Error bandwidth utilization statistics.
Duplicate SN
Error Count of frames with duplicated sequence numbers.
Duplicate SN Error Current and Average Frame rates,
and the Current and Average Out of Duplicate SN Error
bandwidth utilization statistics.
Where do you want to go next?
IP Test Setup
Ping Trace Route Results
Ping Test Results
IP Testing
Throughput Test Setup
RFC2544 Applications
Home
120

IP Ping Testing
Ping Test Results Home
Status
Ping test messages appear in this field. The number of Pings Sent is reported in the
Status Bar, as is the number of Pings Remaining to be sent.
Even though the test set generates pings, there are circumstances which cause the
pings not to be sent. For example, the port could lose link or be paused, preventing
the transmission of the Ethernet frames in which the ping packets reside. In these
situations, the number of pings sent will not be displayed to avoid confusion.
Ping Results
View the overall Ping Test results.
Statistic Meaning
IP Address IP address the pings were sent to.
Sent Number of transmitted pings.
Received Number of correct echo responses received .
Lost Number echo responses missing.
Unreachable Number of echo responses with an 'unreach’ flag.
Timeout Number of pings which timed out.
Round Trip Delay
(ms)
Current: Current ping round trip delay.
Average: Average of all round trip delay.
Minimum: Maximum value of round trip delay.
Maximum: Minimum value of round trip delay.
Where do you want to go next?
IP Test Setup
IP Testing
Ping Trace Route Results
Throughput Test Setup
RFC2544 Applications
Home
121

XTT 5000 User's Manual
Ping Trace Route Setup Home
Parameter Options Details
Maximum
Hops
1-255 hops Enter the maximum number of hops allowed
for the Trace Route.
Time Out 1-5 seconds Determine how long the test set will wait for a
response to a ping before timing out.
Destination
IP/URL
Enter the IP address of the ping destination.
• The number pad will appear for manual
data entry.
• Highlight a previously used address in the
Destination IP Address List, then press '<
Select' to move it to the 'Dest. IP/URL'
button.
Trace Route Basics
Select IP TEST as the test type from the menu, then select TRACEROUTE as the IP
Test Type on the IP Setup tab, in order to perform a ping trace route test. Select the
Traceroute Setup tab to configure the test setup.
Where do you want to go next?
IP Test Setup
IP Testing
IP Summary Results
Trace Route Results
IP Aggregate Results
Throughput Test Setup
RFC2544 Applications
Home
122

IP Ping Testing
Ping Trace Route Results Home
The Trace Route results window displays:
• the sequence of hops
• the time between hops, between the test port and the destination address.
Select Trace Route as the Ping Test Type and press 'Start' to access this results
window.
Where do you want to go next?
IP Test Setup
IP Testing
IP Summary Results
Ping Trace Route Setup
Throughput Test Setup
RFC2544 Applications
Home
123

XTT 5000 User's Manual
Ping Echo Log Home
Get details on the transmitted pings and received ping echoes.
Observe the following for each ping response:
• Source addresses
• Destination address
• PING size in bytes
• PING round-trip time, in microseconds
• TTL of the inbound packet
The details are for reference only.
Only one line is displayed per second, even if the ping rate is higher.
Where do you want to go next?
Ping Trace Route Results
Ping Test Results
IP Test Setup
IP Testing
Throughput Test Setup
Home
124

IP Ping Testing
Aggregate Results Home
View information on errors received, and frame statistics, for a Throughput, Monitor,
Ping, or RFC2544 test.
• For the following test frame types, view the frame count or Current frame
rate (frames per seconds, the Average frame rate (fps) at which the error
was received, and possibly the Utilization rates (percentage of bandwidth).
Counts and rates may show for the Transmit and/or Receive directions.
• Not all statistics will show for all ports or setups.
• In Live and Monitor Test Modes, only Receive Statistics appear.
• For information about frame component usage, see the Ethernet Technology
Overview.
Total Frames Number of received/transmitted frames.
Total Bytes Number of received/transmitted bytes.
Frame Rate
Current/Average/
(fps)
Current rate at which frames are being transmitted
and received at this second.
Frame Rate
Minimum/Maximum
(fps)
Minimum or maximum transmitted and received
frames per second since the beginning of the test.
Line Rate Transmitted and Received data rates.
Data Rate Transmit data rate (in kbps, bps, etc.). The data rate
includes the frame headers but not the IPG or
Preamble. Thus, the data rate reflects both the frame
rate and frame size.
Utilization Current
(%) Percentage of current/average/Minimum/Maximum
bandwidth in use.
Frame Sizes Count of frames of each size: Under 64 Bytes/64
Bytes/65-127/128-255/256-511/512-10234/ 1024-
1518/ Over 1518 Bytes (aka jumbo frames).
Undersized Frames Tip
Bit Error Count of the number of bit errors since the beginning
of the test.
Service Disruption Packet interval (ms) detected during the
measurement. This is a very precise disruption
measurement.
Non Test Traffic Number of received frames that do not match the
ports Stream Table, such as live traffic. Multicast and
broadcast frames are reported as non-test frames.
Consult the Stream Table.
Pause Frames Count of received pause frames.
FCS/CRC Errors Frame Check Sequence or Cyclic Redundancy Check
errors.
Unicast Count of Layer 2 Unicast frames transmitted and
received.
Multicast Count of Layer 2 multicast frames transmitted and
received.
125

XTT 5000 User's Manual
Test Frames Count of Frames which match the Stream Table.
Non Test Frames Count of Frames that do not match the ports Stream
table, such as live traffic. Multicast and broadcast
frames are reported as non-test frames. Consult the
Stream Table.
Unicast Test
Frames Count of unicast test frames.
Broadcast Test
Frames
A broadcast frame is a frame that is intended for all of
the devices on the network, the destination MAC
address is set to ‘FF-FF-FF-FF-FF-FF’.
Keep Alive Mac
Frames Count of frames with MAC Keep Alive frames.
Invalid Mac Frames Count of frames with invalid MAC addresses.
Good Frames Count of unerrored frames.
Error Frames Count of errored frames.
Frame Rate Current
(fps)
Number of frames currently received per second.
Total VLAN Frames Frames containing VLAN tags.
Single-Tagged
VLAN Frames
Frames containing one VLAN tag.
Multi-Tagged VLAN
Frames
Frames containing more than one VLAN tag.
MPLS Frames Frames containing MPLS tags.
IPv4 Frames Frame
Rate
IP version 4 frames.
Unicast IPv4
Frames
Unicast IP version 4 frames.
Multicast IPv4
Frames Multicast IP version 4 frames.
Broadcast IPv4
Frame
Broadcast IP version 4 frames.
IPv6 Frames IP version 6 frames.
Unicast IPv6
Frames Unicast IP version 6 frames.
Multicast IPv6
Frames Multicast IP version 6 frames.
TCP Frames Frames containing Layer 4 Transmission Control
Protocol.
UDP Frames Frames containing Layer 4 User Datagram Protocol.
Pause Frames Pause flow control frames.
Frame Gap IPG/IFG delay between successive frames.
Avg Service
Disruption Events
Average duration of packet intervals.
Latency Latency measurement.
LOS Loss of Signal (Seconds).
LOSync Loss of Synchronization; count of Events, Aggregate
totals, Minimum/Maximum/Current/Average
IP Checksum Error Number of IP checksum errors received.
126

IP Ping Testing
TCP Checksum
Error
Number of TCP checksum errors received.
UDP Checksum
Error Number of UDP checksum errors received.
Lost SN Error Frames where the Sequence Number was lost
Out of Sequence
Error:
Frames which arrive out of numerical sequence.
Where would you like to go next?
Throughput Applications
Ethernet Frame Type
Throughput Summary Results
Throughput Aggregate Results
Throughput Stream Results
Throughput Test Setup
Home
127

XTT 5000 User's Manual
128
Ping Test Results Home
Status
Ping test messages appear in this field. The number of Pings Sent is reported in the
Status Bar, as is the number of Pings Remaining to be sent.
Even though the test set generates pings, there are circumstances which cause the
pings not to be sent. For example, the port could lose link or be paused, preventing
the transmission of the Ethernet frames in which the ping packets reside. In these
situations, the number of pings sent will not be displayed to avoid confusion.
Ping Results
View the overall Ping Test results.
Statistic Meaning
IP Address IP address the pings were sent to.
Sent Number of transmitted pings.
Received Number of correct echo responses received .
Lost Number echo responses missing.
Unreachable Number of echo responses with an 'unreach’ flag.
Timeout Number of pings which timed out.
Round Trip Delay
(ms)
Current: Current ping round trip delay.
Average: Average of all round trip delay.
Minimum: Maximum value of round trip delay.
Maximum: Minimum value of round trip delay.
Where do you want to go next?
IP Test Setup
IP Testing
Ping Trace Route Results
Throughput Test Setup
RFC2544 Applications
Home

Loopback Features
Loopback Test Setup Home
Select LOOP BACK from the drop down Menu. XTT 5000 can Control a loopback or
act as a loopback responder.
To send loopback commands in a test, press the 'Loop Control' ( ) button in the
Action Bar.
See the application diagram.
Loopback Test Tab Layer Notes
Loopback Test Tab
Type: Select the loopback function; Manual, Responder
Manual: Send a loop up/down command to a Sunrise Telecom Ethernet
tester, such as another XTT 5000 module or a SunSet MTT -28 or -29
module. See Loop Control.
Respond: XTT 5000 respond to loopbacks. See Loopback Responder.
Layer: Select the test layer format for the loop up and loop down frames; Layer 1,
Layer 2/3. Scroll down for Layer Notes.
VLAN/MAC/IP:To enable an address (MAC, IP, or Gateway) or tag id (such as a
VLAN TPID tag), touch the top tag button to turn it on (it turns green), then touch a
lower parameter button (e.g. TPID), then use the pop up number pad to enter the
address or tag data.
• The Source addresses are those used by the test port sending the command.
• The Destination addresses must match the MAC and IP addresses of the port
or unit to be looped.
An IP Destination may need to be entered even for a Layer 2 loopback.
• A Gateway is required if you the device to be looped is outside the local
subnetwork.
The addresses in this window do not necessarily correspond to those in the
Stream Table.
• To use VLAN tags, touch the VLAN-1, VLAN-2, and of VLAN-3, buttons to
select up to three VLAN tags. Configure the VLAN TIPD, PRI, CFI, and ID as
necessary.
Layer Notes
• Layer 1: The test set can transmit a Layer 1 loop up or loop down command
to a remote test set configured as a responder. Upon receiving the Layer 1
loop up command, the remote test set will retransmit the incoming frames
without modifying them.
• Layer 2/3: The test set can transmit a Layer 2 or Layer 3 loop up or loop
down command to a remote test set configured as a responder. Upon
receiving the Layer 2/3 loop up command, the remote test set will retransmit
the incoming frames and swap the source and destination MAC address fields,
adding IP addresses for Layer 3
Layer 3 loopback can only be used in a network where the source and
destination IP addresses are located in the same network (direct routing). It
will not function through a gateway.
129

XTT 5000 User's Manual
Sunrise Telecom STT and MTT Ports Note
Press 'Loopback Control' to bring up the Loopback Control pop up to send loopback
commands in a Throughput or RFC2544 Test Mode, as configured in this Loopback
window. Making changes one of these windows affects the other.
Where do you want to go from here?
Loopback Responder
Loop Control
Throughput Test Setup
Throughput Summary Results
Home
130

XTT 5000 User's Manual
Loopback Ports Note Home
Different ports on the Sunrise Telecom XTT, STT and MTT behave differently in
Loopback mode, based on the type of MAC frame received.
Frame STT FE STT GE STT 10GE MTT-28/-29
MAC Yes Yes Yes Yes
Unicast Yes No No No
Multicast Yes Yes No No
Broadcast Yes Yes No No
Keepalive* Yes Yes No No
Yes: The frame will be looped back.
No: The frame will not be looped back
*Identical Source and Destination addresses
Loopback Mode and MAC Frames
Where do you want to go next?
Loopback Test Setup
Home
132

Loopback Features
Loop Control Home
To perform loopback testing, touch the Menu button and select LOOP BACK as the
test type, or press the 'Loop Control' ( ) button in the Action Bar to access the
Loopback Control screen, in a BER test or RFC2544 test. The commands are sent as
configured here, on the Control tab.
See Loopback Test Setup for details on using the loopback test mode.
When the test has started, the Summary and Aggregate results windows appears.
XTT 5000 can loop-up and loop-down Sunrise Telecom Ethernet testers, using the
standard Sunrise Telecom loop commands.
XTT 5000 reports if the loop-up or loop-down was successful.
• The loop-up command indicates the layer:1, or 2/3.
• The loopback command contains the MAC and IP address of the test set to be
looped, as appropriate.
Ethernet Settings
Layer: Select the format for the loop up and loop down frames. This selection
determines which of the remaining items need to be configured.
Option: Layer 1, Layer 2/3
• Layer 1: The test set will transmit a Layer 1 loop up or loop down command
to a remote test set configured as a responder. Upon receiving the Layer 1
loop up command, the remote test set will retransmit the incoming frames
without modifying them.
• Layer 2/3: The test set will transmit a Layer 3 loop up or loop down
command to a remote test set configured as a responder. Upon receiving the
Layer 2/3 loop up command, the remote test set will swap the MAC/IP
addresses, and loop the frame if it is not destined for that specific test port.
Parameter Details
MAC/IP
Source
The Source addresses are those used by the test port sending
the command.
MAC/IP
Destination
The Destination addresses must match the MAC and IP
addresses of the port or unit to be looped.
An IP Destination may need to be entered even for a Layer 2
loopback
Gateway Required if the device to be looped is outside the local
subnetwork.
VLAN For a Layer 2/3 loopback, touch VLAN-1/-2/-3 to turn the VLAN
tag on.
Next, enter the VLAN Priority level (UPI), CFI and ID
information.
Start Loopback Control
Press ‘Apply’ to confirm the settings.
Press ‘Loop Up’ or ‘Loop Down’ to send the indicated command from the Control tab.
The field to the left reports on the status of the loop.
Possible Status Messages
133

Loopback Features
135
Loopback Responder Home
To perform loopback testing, touch the Menu button and select LOOP BACK as the
test type.
To have XTT 5000 respond to loopbacks, configure the Loopback Test Setup tab,
setting Responder as the Type. XTT 5000 will enact a Layer 1, Layer 2, or Layer 3
loopback as instructed in the command.
Use caution when using loopback mode, because some network equipment may
not allow the loopback of some frames. It can cause such equipment to shut down
the port.
• The graphic on the Signal window shows how Loopback mode works. In
Loopback mode, a red 'LB' status banner appears in the Status Bar, reporting
status such as "LB Running” or "LB Waiting.”
• The test set will only respond to those loop commands addressed to it.
• In this mode the layer is NOT selected.
• XTT 5000 will not respond to any loop commands until you press . Once
the test has started, XTT 5000 will go into a waiting for loopback command
state. A screen message informs you that the test set is in the waiting for
loopback command state.
• The test set's MAC and IP address appear, as appropriate.
• Once XTT 5000 receives a loop-up command from the received traffic, it will
begin looping back frames based on the layer indicated in the loop command
frame: Layer 1, Layer 2, or Layer 3.
• A screen message appears, informing you that the test set is in an active
loopback state.
• When XTT 5000 receives a loop-down command from the received traffic, it
will cease looping back frames and re-enter the waiting for loopback
command state.
• Once you stop the test, XTT 5000 will return to the waiting for loopback
command state.
Where do you want to go next?
Loopback Test Setup
Loop Control
IP Test Setup
IP Testing
Throughput Test Setup
RFC2544 Applications
Home

Monitor
Monitor Applications Home
Monitor Test Mode can be used in either of the following two configurations.
• Pass Through mode: the test set is inserted between two devices, to monitor
the frames in both directions.
Pass Through Monitor Mode Connection
• Splitter mode: the test set is inserted between two devices using splitters. In
this mode you can insert and remove the test set without interrupting the
traffic.
Splitter Monitor Mode
Where do you want to go next?
Monitor Setup
Summary Results
Home
137

XTT 5000 User's Manual
138
Monitor Setup Home
To monitor traffic, select MONITOR as the test type on the menu, then configure the
Monitor Setup tab.
Monitor results statistics appear for the receive side only.
Touch the two ports you want to connect; one to receive on (Rx), one to transmit on
(Tx).
• 10GE loops back the traffic to itself, for you to monitor.
• Port 2 can send traffic to Port 3 for Fiber and Copper.
Press then on the Action Bar to begin monitoring.
See the applications diagram.
You can only view one port (the active one) at a time.
Starting monitor on two ports starts the measurement on both ports 2 and 3.
When you press 'Stop', data for the active port (for example, Port 2) is saved.
However, this data also includes results for the other port (Port
).
Connect two ports
Where do you want to go next?
s
3
Monitor Application
Summary Results
Aggregate Results
g DesktopWorkin
Home

Save Features
Save Features Home
Press the 'Saved Results' icon ( ) at the bottom of the screen to access saved
results. Press to save a test profile.
Test Profiles
• Press 'Save' to save the current test configuration as a file which you may
later Load.
Profiles Window; Setup Tab
Highlight a saved file to perform an action, via the buttons at the bottom of the
window:
'Save' Save the current test profile.
'View' Open a saved profile to review it.
'Load' Load the highlighted profile.
'Delete'/'Delete
All'
Delete the highlighted profile, or all saved profiles.
'Rename' Rename the highlighted file, using the soft keyboard which
appears.
'Copy' Save a copy of the file under a new name.
'Load Default' Load the factory default profile.
Use 'Page Up' and 'Page Down' to scroll through the saved results.
Setup Files Buttons
Profiles Window; File Usage Tab
View the number of files saved, and the percentage of memory used, for Setup and
Results files.
Save a File
• When a test has concluded, a window will pop up asking if you would like to
save the measurement. Press 'Yes.'
• Test results are saved automatically at the end of a test, unless you have
chosen otherwise on the Measurement Setup screen.
• To know how much storage space is left, look at the File Usage tab. It reports
on both Setup (Profiles) and Saved Results. It will prompt you when the user
storage is within 5% of full. Delete old results to make space.
• In the event of a controlled power failure, such as a low battery, XTT 5000
will automatically save the current measurement.
• XTT 5000 will save results during a test such that an abnormal power failure
will result in minimal loss of data.
Results Files Window; Results Tab
139

XTT 5000 User's Manual
For each saved file, view the Test Mode (eg Throughput or RFC2544), file size (eg 30
kb), and date the record was saved.
Highlight a saved file to perform an action, via the buttons at the bottom of the
window:
'View' Open a saved file.
'Delete'/'Delete
All'
Delete the highlighted file, or all saved files
'Rename' Rename the highlighted file, using the soft keyboard which
appears.
'Copy' Save a copy of the file under a new name.
'Report' Generate a report; enter Trouble Ticket data on the Data Entry
Tab, and view the test setup on the Report Setup tab.
Use 'Page Up' and 'Page Down' to scroll through the saved results.
Results Files Buttons
Open a Saved Results File
Press 'Saved Results' ( ) in the Action Bar, then press 'View' on the Results File
window.
Export a Results Report to Use in a Database
To use test results in a program such as Excel©, export them in the .csv format.
1. Select 'Generate Report'.
2. On the Report Results window, select the Report Setup tab.
3. Choose CSV File: On.
4. Choose PDF File: Off
5. Select the Reports (turn them On) you need.
6. Press 'Create Report' at the bottom of the screen.
Exported test results include all measurement data and the test configuration.
Generate a Report to View Offline
XTT 5000 can create PDF reports, which you can use anywhere.
1. Press 'Saved Results', select the file name on the Results File window, then
press 'Generate Report' at the bottom of the screen.
2. On the Report Results window, select the Report Setup tab.
3. Choose CSV File: Off.
4. Choose PDF File: On
5. Select the Reports (turn them On) you need.
6. Press 'Create Report' at the bottom of the screen.
Reports include:
• Measurement data and test configuration
• Measurement graphs
• User information
• Trouble Ticket information
• Comments
Where do you want to go next?
The Working Desktop
Meas. Setup: Configure measurement parameters
Throughput Test Setup
140

Error Injection Home
Error injection is used to insert defects into the traffic generated by the test module,
in the Throughput test mode.
To configure error injection, press the error injection button when it's available on
the Action Bar.
To inject an error, you must first start the measurement and transmit traffic.
Error Type: Select the type of error to inject, which depends on the type of test.
Details.
Default Errors: 231-1, 223-1, 220-1, 215-1, 1111, 0000, 1010, 1100 CJPAT,
CRPAT, User 32, User 1024
User 32: 32 bits pattern data.
User 1024: 1024 bits pattern data. It doesn’t support increment pattern.
Payload length is 1000 bytes. A User pattern is filled with every four bytes
with same data. The User 1024 pattern is filled every 128 bytes.
Layer Default
Errors SN
(Sequence
Number)*
IP TCP UDP
Layer 1
Unframed
Bit
PRBS +
FCS
FCS/CRC,
BIT
Layer 2 &
above
FCS/CRC,
BIT
Lost
Frame,
Out-of-
Sequence,
Duplicate
Sequence
Number
IP
Checksum
TCP
Checksum
UDP
Checksum
*To inject Sequence Errors: 1. Turn Broadcast Error Off; 2. Press Error Type; 3.
Select a Sequence error. Note: You may turn Broadcast Error back On.
Error Availability
Mode: Select the error injection method.
Options: Single, Burst, Rate, Bit/sec - Details
Broadcast Error: Inject errors on all streams; On is the default.
• For 10G, press On to inject errors On all streams.
• To inject errors on only one stream, press the button to Off, and touch the
stream number on the pad which appears to transmit on.
Pattern Inversion: When enabled, the XTT 5000 will transmit the selected test
pattern inverted. This is indicated by INV on the 'TX Pattern’ button.
Error Type Details
Error Details
FCS/CRC Frame Check Sequence/Cyclic Redundancy Check error.
Bit Error Bit error in the frame payload/pattern. Pattern bit errors
are inserted before the FCS/CRC is calculated, and
therefore do not cause an FCS/CRC error, or cause the
frame to be dropped.
143

XTT 5000 User's Manual
144
Code 8B/10B encoding error.
Disparity Running disparity error.
IP Checksum IP Checksum error.
Lost Frame The transmitted sequence number will skip a value, causing
a lost frame to be detected at the far end. Requires a
Sunrise Tag be enabled the Stream table Payload tab.
Duplicate Packet The transmitted sequence number will be duplicated once,
causing a duplicate or misinserted packet defect at the far
end. Requires Sequence Number enabled on the Ethernet
Layer Selection window.
Out of Sequence The transmitted sequence number will transpose two
values, causing an out of sequence defect at the far end.
Requires a Sunrise Tag be enabled on the Ethernet Layer
Error Mode Details
• Single: Inject an individual error.
• Burst: Inject a set number of errors with each press of the ‘Send’ or ‘Error
Inject’ button. In the Burst field, enter the number of errors you wish to inject
in a burst when the Send’ button is pressed. Send a burst of up to 254 errors
for Ethernet.
• Rate: Inject errors continuously at a specified rate between 1e-3 and 9e-9.
Enter the constant rate at which you wish to inject errors. A red ‘ERR-INJ’
banner appears when errors are being injected. Note: Remember to press the
‘Stop’ button when you have been injecting errors at a rate, and want to stop.
• Bit/sec: Injects the specified number of errors each second, up to 64,000.
Where do you want to go next?
Working Desktop
Home

Technology Overview
Technology: Ethernet Overview Home
Once the primary delivery mechanism for data across a LAN, the utilization of
Ethernet has expanded to MAN and WAN to challenge traditional TDM-based
technologies such as T-Carrier, PDH, and SONET/SDH.
Its superior cost performance, proven ability to carry packet-based data, and easy
integration into a LAN environment make it a preferred solution to ATM, Token Ring,
and Frame Relay for delivering IP-based services such as VoIP and IPTV as well as
traditional data and internet traffic.
Ethernet interface rates today span from 10 Mbps up to 10 Gbps. Typically, Ethernet
is carried over UTP (unshielded twisted pair) or fiber optic cable (single-mode or
multi-mode, depending on wavelength), but other options exist, including thin
coaxial cable.
The original Ethernet standard was for 10M and 100M is referred to as Fast Ethernet.
Most copper Ethernet ports support both 10M and 100M (and even 1000M in some
cases) and they are usually referred to as 10/100M ports or 10/100BASE-T.
10G LAN has a line rate of 10 Gbps. 10G WAN encapsulates Ethernet traffic into an
OC-192c/STM-64c frame has thus has a line rate of 9.953 Gbps.
Ethernet Standards
Ethernet Frames
Frame Size Efficiency
Frame Size Details
VLAN Tagging
MAC Addresses
MPLS
Unicast/Multicast Testing Note
IPG
Where do you want to go next?
Home
145

XTT 5000 User's Manual
Technology: Standards Home
IEEE Standards Request For Comments Metro Ethernet Forum
Ethernet is controlled by the IEEE 802.3 body of standards, but its historical
development has also lead to deviations, such as the DIX Ethernet (also known as
Ethernet II), as well as vendor-specific implementations (such as 1000BASE-LH for
long-haul Ethernet). Except where noted, the following refers to IEEE standards.
IEEE Standards
The following 802 standards are available for free download from the IEEE website at
http://standards.ieee.org/getieee802/index.html
• IEEE 802®: Overview & Architecture
• IEEE 802.1™ Bridging & Management
• IEEE 802.2™: Logical Link Control
• IEEE 802.3™: CSMA/CD Access Method
• IEEE 802.5™: Token Ring Access Method
• IEEE 802.11™: Wireless
• IEEE 802.15™: Wireless Personal Area Networks
• IEEE 802.16™: Broadband Wireless Metropolitan Area Networks
• IEEE 802.17™. Resilient Packet Rings
IEEE Registration Authority has a number of public listings available at
http://standards.ieee.org/regauth/publiclistings.html
• OUI (Organizationally Unique Identifier) Public Listing
• IAB (Individual Address Block) Public Listing
• OUI-36 Public Listing
• EtherType Field Public Listing
• Manufacturer ID Public Listing
• LLC (Logical Link Control) Public Listing
• Standard Group MAC Address Public Listing
• URN (Unique Registration Numbers) Public Listing
• IEEE 802.16 Operator ID
Requests for Comments (RFC) Documents
RFC documents are a series of memoranda on internet technologies, techniques, and
innovations. Organized through the Internet Society, RFCs are the best resource for
technical information on these technologies and protocols. Some RFCs become
internet standards through the IETF (Internet Engineering Task Force).
All RFCs are available for free online at the RFC Editor: http://www.rfc-
editor.org/rfc.html, but most can be found easily simply by typing the RFC number
(such as ”RFC 791”) into a web browser.
The most common RFCs for Ethernet services testing are:
• RFC 768: User Datagram Protocol
• RFC 793: Transmission Control Protocol
• RFC 791: Internet Protocol
• RFC 792: Internet Control Message Protocol
• RFC 826: Ethernet Address Resolution Protocol
• RFC 2544: Benchmarking Methodology for Network Interconnect Devices
• RFC 2889: Benchmarking Methodology for LAN Switching Devices class uses
the label to determine the per hop behavior of the class.
146

XTT 5000 User's Manual
Technology: Ethernet Optical Line Encoding Home
Before being transmitted across optical fiber, the bits of the Ethernet signal are
converted using an encoding scheme known as 8B/10B encoding (for Gigabit
Ethernet) or 64B/66B encoding (for 10 Gigabit Ethernet). A receiving device reverses
the encoding, so that the encoding is completely transparent to the user.
Encoding helps to ensure a balanced transmission of 1s and 0s in the signal which
aids in DC balance and clock recovery.
8B/10B Encoding
8B/10B encoding takes each block of 8 bits and translated them into a code word
that is 10 bits long. For a Gigabit Ethernet, this means the number of bits
transmitted is actually 1.25 Gbps (1 Gbps x 10 bits / 8 bits). With 10 bits, there are
1024 unique code words for mapping 256 possible 8-bit data blocks.
• Many code words are not used.
• Some are reserved for link-level signaling.
• In many cases, a single 8-bit block can be mapped into one of two code
words that are bitwise inverts of each other.
Code words are chosen in such a manner so as the number of 1s and 0s balance out
in a process called running disparity. A violation of these rules is called a disparity
error.
Note: The 8 data bits are actually first broken into 5-bit and 3-bit blocks which are
encoded separately into 6- and 4-bit code words, but for the purposes of this
discussion, thinking of the encoding process as a single step of 8-bits to 10-bits is
sufficient.
64B/66B Encoding
64B/66B encoding serves a similar function but uses a different method of mapping
data bits into code words.
The 64 data bits (8 bytes) are scrambled, and then a 2-bit synchronization header is
added.
For 10GE LAN, the physical line rate is actually 10.3125 Gbps (10G x 66 bits / 64
bits).
For 10GE WAN, the encoding is done before the Ethernet payload is placed side the
OC-192c/STM-64c payload envelope.
Where do you want to go next?
Ethernet Overview
Home
148

Technology Overview
Technology: Ethernet Frames
Basic Ethernet Frame
• Preamble and SFD (Start Frame Delimiter). Preceding each frame is a
preamble of 7 bytes and a 1-byte SFD. The preamble is a pattern of
alternating 1s and 0s (10101010) for all 7 bytes. The SFD has a pattern of
10101011. The preamble allows devices to detect and synchronize to
incoming Ethernet frames; the SFP marks the end of the preamble. For the
purposes of calculating frame lengths, the 8 bytes of Preamble and SFP are
not included.
• Ethernet frame: Consists of a MAC (Media Access Control ) header, followed
by the frame payload, and ends with a FCS (Frame Check Sequence).
• MAC header: 14-bytes- consists of a 6-byte Destination Address, a 6-byte
Source Address, and a 2-byte Ethertype field (see MAC Address Overview).
• Ethertype field: Used as a frame length indicator or as protocol indicator,
depending on which Ethernet standard is being used. IEEE 802.2 uses the
field to indicate the frame length (in hex). The DIX or Ethernet II standard
uses the field to indicate the type of data being transmitted. In most IP-based
applications, the Ethernet II standard is used and the field is set to an
Ethertype of 0x0800 to indicate an IP version 4 payload. Ethertype values:
http://standards.ieee.org/regauth/ethertype/eth.txt
• Payload Size: The minimum payload size is 46 bytes.
Frames with fewer payload bytes are considered undersized.
The minimum Ethernet frame size is 64 bytes.
The maximum frame size is 1518 bytes.
Frame sizes above 1518, called jumbo frames, are allowed by some systems,
and are an effective means of increasing the efficiency of the network.
The presence of VLAN tags changes the effective minimum and maximum
frame sizes .
• FCS: A 4-byte CRC performed over the entire Ethernet frame. Sometimes the
FCS is called the CRC field.
To avoid confusion, it is sometimes written as the FCS/CRC field. When an
Ethernet device receives a frame, it performs a CRC calculation and
compares it to the frame’s FCS field. If they match, the frame is processed.
If they do not match, the frame is discarded. Due to the limits of the error-
checking capabilities of a 4-byte CRC, the largest practical size for an
Ethernet frame is roughly 12,000 bytes.
149

XTT 5000 User's Manual
• Note: Because errored frames are discarded, performing a bit error test at
the Ethernet layer is very different than for TDM networks. The presence of a
bit error that does not also cause a CRC error is exceedingly rare. In the vast
majority of cases, a bit error translates into a lost frame. For this reason,
most Ethernet QoS (Quality of Service) standards use lost frames as its
primary metric and do not rely on bit error or BER (Bit Error Ratio).
MAC Addresses
IPG
Frame Size Efficiency
VLAN Tagging
MPLS
Where do you want to go next?
Ethernet Overview
Optical Line Encoding
Home
150

Technology Overview
Technology: Frame Size Details Home
64 or 1518 bytes are used most often since these represent the normal minimum
and maximum frame size allowed by the network.
The standard frame sizes for Ethernet testing are 64, 128, 256, 512, 1024, 1280,
and 1518 bytes.
When testing RFC2544 with VLAN and/or MPLS tags, 64 bytes is no longer a proper
frame length.
With systems that support jumbo frames, such as 4096- or 9000- byte frames, these
frame sizes should be tested as well.
The XTT 5000 defaults to the frame size defined in RFC 2544, but allows you to set
the frame size to any valid value.
Test Layer Undersized Oversized FE GE
Layer 1:
FCS/CRC
N/A N/A 20—20480 20—65535
Layer 2: MAC Under 64 Over 1518 38—20480 38—65535
L2 + VLAN Under 68 Over 1522 42—20480 42—65535
Layer 3: MAC +
IP
Under 64 Over 1518 58—20480 58—65535
L3 + VLAN Under 68 Over 1522 62—20480 62—65535
Table 10/100/1000M Ethernet Frame Length Options.
Where do you want to go next?
Stream - Frame -Setup
Throughput Summary Results
Throughput Aggregate Results
Throughput Stream Results
Home
151

XTT 5000 User's Manual
Technology: Ethernet Frame Size and Efficiency
Home
Because each frame is followed by a frame gap and preamble, there is an inherent
inefficiency built into Ethernet traffic. The percentage of bandwidth lost to the 20
bytes of IPG and preamble is lower for larger frames than smaller frames, as shown:
Data size Overhead
/frame Frames/sec. Total bits lost
(oh) % of
Bandwidth
Lost
64 Bytes
(512 bits)
160 bits 1,488,095 238,095,238 23%
128 Bytes
(1024 bits)
160 bits 844,594 135,135,135 13%
512 Bytes
(4096 bits)
160 bits 234,962 37,593,984 3.7%
1024
Bytes
(8192 bits)
160 bits 119,731 19,157,088 1.9%
1518
Bytes
(12144
bits)
160 bits 81,274 13,003,901 1.3%
Frame Rates
Frame Size Efficiency
VLAN Tagging
MPLS
MAC Addresses
IPG
Where do you want to go next?
Ethernet Frames
Ethernet Overview
Throughput Stream Results
Home
152

Technology Overview
Technology: Gaussian Frame Probability Home
The probability that a given frame length will be sent is given the following function:
Χ is the frame length, μ is the mean o r average, and σ is the standard deviation.
The variance determines the width of the distribution (as measured at half its
maximum value).
In the XTT 5000, you specify the width (Width at 50%), which then sets the standard
deviation of the distribution. Approximately two-thirds of the frames sent will be
within one standard deviation of the mean.
Where do you want to go next?
Tech: Ethernet Overview
Stream Frame Setup
Home
153

XTT 5000 User's Manual
Technology: Frame Interval Home
Frame Interval: The time between the start of one frame and the start of the next
frame. The frame interval increases as the frame size increases. However, as the
effect of frame size is usually very small compared to the duration of traffic
problems, the frame interval is useful for measuring service disruptions.
Minimum Frame Interval Note
Under normal network conditions, the smallest possible frame interval is for two 64-
byte frames with a minimum frame gap. This is:
(64 + 20 bytes) x 8 bits / byte or 672 bit times.
For Gigabit Ethernet, the bit time is 1.0 ns, making the minimum frame interval 672
ns over Gigabit Ethernet.
Undersized frames or abnormally small frame gaps will reduce the frame interval
further.
Maximum Frame Interval Note
This value is also used as the basis for the Service Disruption measurement.
If there is a network disruption on the far side of a switch from the test set, the only
indication of a problem will be an increase in the frame interval.
Because these disruptions are on the order of tens of milliseconds, the minor
variances in frame interval caused by shorter or longer frames is negligible.
Where do you want to go next?
Tech: Ethernet Frames
Summary Results
Aggregate Results
Throughput Stream Results
Working Desktop
Home
154

Technology Overview
Technology: Ethernet MAC Addresses Home
The MAC addresses is six bytes, written in hexadecimal.
• The first three bytes contain a vendor code, also known as the OUI
(Organizationally Unique Identifier) or company_id.
• The last three bytes contain a unique station ID. Vendor codes are assigned
and administered by the IEEE.
The OUI for Sunrise Telecom is 00-D0-DD. The station IDs are assigned by the
manufacturers are often tied to the serial number of the device.
Vendor codes: http://standards.ieee.org/regauth/oui/oui.txt
MAC Address Format
Unicast: Most Ethernet traffic is designated to travel from one station to another
specific station. This is called unicast traffic.
Broadcast Ethernet traffic is sent to all stations on the network; such frames are
given a MAC destination of all-ones: FF-FF-FF-FF-FF-FF. Because broadcast traffic is
very polluting, it should be avoided whenever possible.
Multicast traffic is sent from one station, but is then directed to a group of stations.
Multicasting is more efficient and more network-friendly than broadcasting. Typical
applications for multicast traffic include IP video delivery and LAN protocols.
Multicast traffic is designated by setting the first bit of the address to 1. Because the
least significant bit is transmitted first, this means the last bit of the first byte is set
to 1; in other words, the byte value is odd. The MAC vendor code used for IP
multicast packets it typically 01-00-5E-xx-xx-xx, as specified by RFC 1112.
Unicast/Multicast Testing Note
IPG
Frame Size Efficiency
VLAN Tagging
MPLS
Where do you want to go next?
Ethernet Frames
Ethernet Overview
Home
155

XTT 5000 User's Manual
Technology: Ethernet IPG Home
The gap of time between the end of one frame and the start of the preamble for the
next frame is called the inter frame gap (IFG); the delay between successive frames.
IFG.
IFG
Because most Ethernet traffic carries IP packets, the IFG is often called the IPG
(Inter Packet Gap). In fact, the terms packet and frame tend to be used
interchangeably by users even though they refer to very distinct entities.
The minimum IFG is 12 bytes, or 96 bit-times. The minimum IFG thus depends on
the interface rate, as follows:
Interface Bit Time Minimum IFG
10M 100.0 ns 9.6 s
100M 10.0 ns 0.96 s
1G 1.0 ns 96.0 ns
10G 0.1 ns 9.6 ns
Minimum IFG
To improve efficiency, some network elements support frame gaps lower than 12
bytes, but the non-standard implementation is not wide-spread and not generally
recommended.
Frame Size Efficiency
VLAN Tagging
MPLS
MAC Addresses
Where do you want to go next?
Ethernet Frames
Ethernet Overview
Home
156

Technology Overview
Technology: Unicast/Multicast Testing Note Home
Most Ethernet testing is performed with unicast traffic. One tester generates unicast
frames that are received by the far end unit, which is either sending unicast traffic of
its own or looping the frames by swapping the source and destination addresses.
Furthermore, different test streams can be designated by their MAC addresses.
When testing multicast services, some care must be taken. Loopback devices will not
loop multicast (or broadcast) traffic. Also, the use of multicast MAC destination
addresses may cause problems designating test traffic. As shown below, the MAC
addresses sent by a tester do not match the MAC addressed received.
MAC Source MAC Destination
Generated 00-D0-DD-12-34-56 01-00-5E-00-00-05
Received 00-D0-DD-AB-CD-EF 01-00-5E-00-00-06
Sample MAC Addresses
Thus, when running this test, the test summary will show "NO BERT TRAFFIC" since
the incoming traffic does not match that sent. Fortunately, all normal traffic statistics
and measurements can be made, with the exception of bit errors and BER.
Where do you want to go next?
Ethernet Frames
Ethernet MAC Addresses
Tech: Multicast Frames
Ethernet Overview
Home
157

XTT 5000 User's Manual
Technology: VLAN Tagging Home
TPID VLAN Membership Stacked VLAN Tags
A virtual LAN (or VLAN) is an independent logical LAN within a physical network. For
example, with in a single enterprise LAN, different divisions may be grouped within
their own VLANs.
VLANs provide a secure means of sub-diving networks, control broadcast domains,
and manage user access. VLANs are defined in the IEEE 802.1p and 802.1q
standards.
VLANs are designated by a VLAN tag that is added to the MAC frame after the MAC
source address.
The 4-byte tag consists of a 2-byte Tag Protocol Identifier (TPID) and 2-byte Tag
Control Information (TCI). The TPID has a value of 0x8100.
VLAN Tag
Note: The TPID can actually be thought of as an Ethertype designation, identifying
the payload as a VLAN. The original MAC frame’s Ethertype field is moved to the
inside of the VLAN payload, following the TCI.
The TCI contains the 12-bit VLAN identification, 3-bit priority field, and 1-bit
canonical format indicator (CFI). The VLAN ID can have a value between 0 and 4095.
However, values 0, 1, and 4095 are reserved and best avoided. The priority field
allows the network administrator to assign a value from 0 to 7 based on the type of
traffic. The CFI is always set to 0 for Ethernet traffic.
See the VLAN User Priority table.
VLAN Membership
Ethernet traffic can be assigned VLAN memberships through several means:
By Port: all traffic through a particular switch port is assigned the same VLAN.
• Fast traffic forwarding
158

Technology Overview
• Easy to maintain for network administrators
• VLAN membership tied to geographic location
By MAC address: Each MAC source address is assigned a specific VLAN ID.
• Great flexibility
• VLAN lookup tables require manual configuration by network administrators
• MAC address lookup takes more processing time
By Protocol: VLAN IDs are assigned based on IP address, or protocol used (such as
AppleTalk).
• Great flexibility
• Protocol lookup takes more processing time
By Authentication: VLAN IDs are assigned based on authentication credentials or the
result of IEEE 802.1X authentication results.
• Improved security
• Ideal for wireless connectivity
Stacked VLAN Tags
IEEE 802.1ad amends 802.1q by providing a means to stack multiple VLAN tags for
traffic management and bridging. This technique of placing one 802.1q tag inside
another is often called ”r;Q-in-Q”.
Stacked VLAN Tags
Stacking VLAN tags is an efficient means of differentiating traffic through a network
backbone, especially when then the user data may itself have VLAN tags.
The outer tag, also known as the service tag or S-tag is distinguished from the
customer tag, or C-tag. The TPID of the C-tag is usually 0x8100, as for normal VLAN
traffic. The TPID of the S-Tag may have a proprietary value, depending on the
implementation by the vendor.
Each tag layer has its own priority setting. The priority of the outer tag allows the
network provider to achieve the desired quality of service for the bridged traffic.
VLAN and Frame Size
Because the minimum payload size for an Ethernet frame is 46 bytes, the presence
of the 4-byte VLAN TPID and TCI pushes the minimum frame size from 64 bytes to
68 bytes.
Likewise, the largest, non-Jumbo frame size increases from 1518 to 1522 bytes.
Stacked VLAN tags also increase the minimum and maximum frame sizes by 4 bytes
per VLAN tag.
159

XTT 5000 User's Manual
When a device receives a VLAN tagged frame that is only 64 bytes, and it must
remove the VLAN tag and forward the Ethernet payload, it is left with a frame that is
only 60 bytes long.
At this point, the device may simply drop the frame. Some systems may add 4 bytes
of filler at the end of the payload to create a legal 64-byte frame.
MPLS
MAC Addresses
IPG
Frame Size Efficiency
Where do you want to go next?
Ethernet Frames
Ethernet Overview
Home
160

Technology Overview
Technology: VLAN User Priority Home
The User Priority may affect the speed and efficiency with which the frame data will
be transmitted through the Ethernet network.
User Priority Traffic Type
0 Best Effort
1 Background
2 Spare
3 Excellent Effort
4 Controlled Load
5 Video < 100 ms latency and
jitter
6 Voice < 10 ms latency and
jitter
7 Network Control
User Priority Table
Where do you want to go next?
Stream Table Setup
Throughput Summary Results
Throughput Aggregate Results
Tech: Ethernet Overview
Home
161

XTT 5000 User's Manual
Technology: MPLS Home
MultiProtocol Label Switching architecture provides a unified data-carrying
service/simple routing for both circuit-based clients and packet-switching clients
providing a datagram service model.
• It allows voice, IP, ATM, Frame Relay and Ethernet services all to be carried
on the same network.
• It can be used with many types of framing, including Ethernet.
• The Layer 3 label analysis is only just once, when the packet enters the MPLS
domain. After that, labels are just inspected to continue packet forwarding.
MPLS Structure
The MPLS header contains a 'stack’ of one or more labels. A label has four fields:
• 20-bit label value
• 3-bit field for CoS priority (experimental)
• 1-bit bottom of stack flag. If used, it signifies the current label is the last in
the stack
• 8-bit TTL (time to live) field; The Time to Live label will expire at the
conclusion of this number of time-to-live hops.
• The Experimental field can be used to distinguish classes of service, or per
hop behavior, for differing classes of traffic traveling within the MPLS tunnel
(AKA Label Switched Path - LSP). Alternatively, an LSP carrying a single traffic
class uses the label to determine the per hop behavior of the class.
Frame Size Efficiency
VLAN Tagging
MAC Addresses
IPG
Where do you want to go next?
Ethernet Frames
Ethernet Overview
Throughput Stream Table Setup
Throughput Summary Results
Throughput Aggregate Results
Throughput Stream Results
Home
162

Technology Overview
Technology: IP Overview Home
TCP Routers Gateways ICMP and Ping DNS DHCP ARP
IP
Internet Protocol is the language computers on the Internet use to talk to one
another.
IP Packet
To send a message using IP, the computer adds extra information, known as the IP
header, in front of the message, creating an IP packet. The IP header contains the
address of the computer meant to receive the message, as well as the address of the
sender. It is like regular mail: the IP header is the envelope, with the recipient
address and the sender addresses on it, and the message itself is inside. In this case
the addresses are numbers, like "67.34.22.199". The IP packet is sent to the
Internet, over Ethernet, DSL, or PPP.
The computers that make up the Internet itself look at the destination address in the
IP header, and forward the packet on, from one to another, until it gets to where it is
going, just as the Post Office forwards envelopes from one sorting office to the next
until it is finally sent out for delivery.
TCP
IP is unreliable: packets can get lost due to faults or overloads in the network. If a
packet does get lost the sender has no way of knowing. TCP (Transmission Control
Protocol) is designed to fix this. Nearly everything that happens on the Internet –
web browsing, e-mail, instant messaging, etc – uses TCP.
TCP adds its own header to the message, saying how much data it has already sent
and how much it has received from the other end. The combination of TCP header
and the actual message is then wrapped in IP and sent to the network, hopefully to
reach the addressed computer - usually after passing through many, many
forwarding computers on the way.
When the recipient computer receives the TCP message it sends an acknowledgment
back. If the original sender sees that acknowledgment, then all is well: the next
message can be sent.
If the sender does not get an acknowledgment within a reasonable time, it sends the
message again, repeating this until it knows the message has got through, or until it
eventually gives up and assumes that the network is broken.
In reality, TCP acknowledges many messages at a time, while simultaneously
sending its own messages. For example, a TCP header might say "I have received all
your messages up to number 97, and here is my message number 38".
ICMP and Ping
ICMP (Internet Control Message Protocol), like TCP, uses IP to communicate from
one computer to another. Unlike with TCP, these messages do not carry information
of interest to users; instead they let the computers find out about one another.
One important type of ICMP message is called echo request. When one computer
wants to check that it can reach another, it sends it echo request ICMP packet, which
asks ”r;are you there?” When the other end receives that, it sends back a reply,
called an echo response, meaning ”yes, I am here”. This process is called a ping. By
sending a series of pings it is possible to learn a lot about the state of the network.
163
XTT 5000 User's Manual
If we send a series of echo requests and never get any echo replies, then something
is broken: perhaps the network itself is down, or perhaps the computer we are trying
to reach has lost its network connection.
If we send a series of echo requests, but only get replies to some of them, then the
network and remote computer are working, but not very well: some IP packets are
getting lost. Even though TCP can compensate for lost packets, there is a limit to
how much it can do – and every time a packet gets lost TCP has to send it again,
making the overall network slower.
As a rough guide, anything more than about 10% packet loss will break TCP, and
anything more than 1% will tend to make it painfully slow. A well engineered
network should have negligible packet loss.
Each time we send an echo request, we can time how long it takes for the echo reply
to come back. This can tell us something about the quality of the network
connection. For example, if it takes a second for the reply to come back, then there
is a long network delay which probably makes it unusable for some delay-sensitive
applications, such as voice.
Routers
A router is a computer in the core of the network that forwards – routes – packets
from one part of the network to another. It has multiple network interfaces, each
connected to another router. Every time it receives a packet, a router looks at the
destination IP address in the IP header, consults its internal tables to decide what to
do with the packet, and then forwards it on, usually over a different network
interface to a different router.
The backbone of the Internet is made up of thousands of routers, working in
collaboration to forward packets from one to another, until they reach their
destination.
Gateways
A gateway is a router that provides access to the Internet for user computers; it
connects dissimilar networks and passes information between them.. On one side it
has one or more connections to network of routers that make up the internet. On the
other side it connects to individual computers.
In TCP/IP, the default gateway address is the address where the Internet protocol
sends packets destined for remote networks, unless a different route is configured.
Only used for static IP.
There is no fundamental difference between what a gateway does and what a router
does (and the terms are often used interchangeably). They both take in packets on
one interface, and forward them out of another, according to the destination IP
address.
The difference is in their position in the network. Routers live inside the network,
communicating with one another. Gateways live at the edge of the network,
communicating between routers and individual users.
DNS
The DNS (Domain Name System) was created to handle the challenge of both
remembering IP addresses and the fact that computer addresses may change over
time. DNS runs on computers known as Name Servers. They have regularly updated
tables of the names and IP addresses of all known computers on the Internet.
When you type ”r;www.google.com” into the address bar of your web browser, the
first thing that happens is that a DNS request is sent to one of the name servers
saying ”r;what is the IP address of www.google.com?” The name server will reply
164

Technology Overview
165
with the numerical IP address, such as 208.67.219.230. Your computer will then use
that address in its IP packets to communicate with Google’s servers.
DHCP
DHCP (Dynamic Host Control Protocol) is the way a computer which is just joining
the Internet can find its own IP address and other information, such as the IP
addresses of the name server gateway to use.
When the network software is starting up, it sends out a DHCP message in an IP
message which has a special type of destination address called a Broadcast address.
This will be received by all computers connected to the same network segment and
one (or more) of them will reply, giving the IP address that should be used and other
information.
ARP
The ARP (Address Resolution Protocol) allows a networked computer to search for a
computer with a particular IP address. ARP is important on LANs, such as Ethernet,
where there may be many computers attached to the network, but IP packets should
only be sent to one of them.
To find another computer, an ARP message is sent saying "who has IP address
192.168.1.2?” All of the computers on the network will see that message, but only
the one with that IP address will respond, saying ”r;that’s me, at Ethernet address
12:34:56:78:9A:BC”. From then on, IP packets for 192.168.1.2 will be sent to
Ethernet address 12:34:56:78:9A:BC, so that only that computer will see them: all
the others on the network will filter out those packets.
Where do you want to go next?
IP Test Setup
IP Testing
Throughput Test Setup
RFC2544 Applications
Home
Glossary
0
0000: Industry-standard all zeros test pattern.
1
100BaseFx: Fast Ethernet; 100 Mbps on twisted pair copper.
1010: Industry-standard alternating ones and zeros test pattern.
1111: Industry-standard all 1s test pattern.
2
2e15-1, 2^15: Industry-standard 215-1 pseudo random bit sequence. This signal is
formed from a 15-stage shift register and is not zero constrained. This pattern
contains up to 14 zeros in a row.
2e20-1, 2^20: Industry-standard 2e20-1 pseudo random bit sequence. This signal
is formed from a 20-stage shift register and is not zero constrained. This
pattern contains up to 19 zeros in a row.
2e23-1, 2^23: Industry-standard 2e23-1 pseudo random bit sequence. This signal
is formed from a 23-stage shift register and is not zero constrained. This
pattern contains up to 22 zeros in a row.
2e31-1, 2^31: Industry-standard 2e31-1 pseudo random bit sequence. This signal
is formed from a 31-stage shift register and is not zero-constrained. This
pattern contains up to 30 zeros in a row.
A
Avg: Average
B
BERT: Bit Error Rate Test.
C
CFI: Canonical Format Indicator
CJPAT: Continuous Jitter Test Pattern is used for jitter measurements. It is intended
to expose a receiver’s CDR (Clock and Data Recovery circuit) to large
instantaneous phase jumps. The pattern alternates repeating low transition
density patterns with repeating high transition density patterns.
CRC: Cyclic Redundancy Check
167
XTT 5000 User's Manual
CRPAT: Continuous Random Test Pattern is intended to provide broad spectral
content and minimal peaking that can be used for the measurement of jitter
at either a component or system level.
D
DEC: Decrease
DHCP: Dynamic Host Configuration Protocol; a network application protocol used by
devices (DHCP clients) to obtain configuration information for operation in an
Internet Protocol network.
DNS: Domain Name System: Internet system to translate names into IP addresses.
DSCP: Differentiated Services Code Point
DUT: Device Under Test
F
FCS: Frame Check Sequence
fps: Frames Per Second
FTP: File Transfer Protocol; network protocol used to transfer data from one
computer to another through a network (Internet).
G
GigE: Gigabit Ethernet
GUI: Graphic User Interface
H
H.323: H.323 is an umbrella Recommendation from the ITU Telecommunication
Standardization Sector (ITU-T) that defines the protocols to provide audio-
visual communication sessions on any packet network.
I
IFG: Inter Frame Gap; same as IPG.
INC: Increase
IP: Internet Protocol
IPG: Inter Packet Gap; The gap of time between the end of one frame and the start
of the preamble for the next frame is also called the inter frame gap (IFG).
IPTV: Internet Protocol Television. Digital television service delivered using Internet
Protocol over a network infrastructure.
K
kbps: A unit of data transfer rate equal to 1,000 bits per second.
168
Glossary
L
LAN: Local Area Network
LLC: LLC (Logical Link Control) IEEE Public Listing; upper sublayer of the OSI data
link layer.
M
M: Megabits per second; a unit of data transfer rate equal to 1,000,000 bits per
second. As there are 8 bits in a byte, a transfer speed of 8 megabits per
second (8 Mbit/s) is equivalent to 1,000,000 bytes per second.
MAN: Metropolitan Area Network
MPLS: Multi Protocol Label Switching; provides a unified data-carrying service for
both circuit-based clients and packet-switching clients providing datagram
service model; carries Ethernet frames.
P
PRBS: Pseudo-Random Binary Sequence; test pattern
R
RFC 1349: Type of Service in the RFC for Internet Protocol Suite
RFC2474: RFC for the Definition of the Differentiated Services Field (DS Field) in the
IPv4 and IPv6 Headers
RX: Receive
S
SFP: Small form-factor plugable optical transceiver, for rates up to but not including
10G.
SIP: Session Initiation Protocol; signalling protocol, used for setting up and tearing
down multimedia communication sessions.
SN: Sequence Number; Sunrise Tag
SNAP: Subnetwork Access Protocol; allows multiplexing of additional protocols on
IEEE 802.2 LLC networks.
STAG: Sunrise Tag
T
TCP: Transmission Control Protocol (TCP) is one of the core protocols of the Internet
protocol suite. It manages the individual conversations between web servers
and web clients.
TPID: Tag Protocol Identifier; part of a VLAN tag.
169
XTT 5000 User's Manual
170
Triple Play: High speed interne, television, and telephone service all provided over
one broadband connection.
TS: Time Stamp; Sunrise Tag
TX: Transmit
U
UDP: User Datagram Protocol; timely data protocol, oft used for real-time service
such as VOIP.
URL: Uniform Resource Locator; often used to mean a website address.
V
VLAN: Virtual LAN; a network of hosts not actually on the same physical LAN, but
grouped that way.
VOIP: Voice over IP. A protocol optimized for the transmission of voice through the
Internet or other packet switched networks.
W
WAN: Wide Area Network
X
XFP: 10G Small Form Pluggable hot-swappable optical transceiver.
Index
1
10 GigE port.................................40
1000M.........................................33
100Base FX..................................39
100M ..........................................33
10M ............................................33
8
8B/10B line coding ........................50
A
AC Power.....................................22
ACT ............................................19
Action Bar..................................... 6
Action Bar Tools............................. 6
Advertisement ..............................32
Aggregate Results .. 77, 106, 107, 117,
125
Alarm.................................... 23, 75
Application...................... 42, 86, 137
Applications .................................41
Apply ........................................... 6
Apply to All Streams......................53
ARP..................................... 42, 163
ARP Error Message ........................42
Asymmetric Pause.........................37
Audible Alarm...............................23
Augo-Negotiation ........................111
Auto Fill.......................................54
Auto Negotiation ................32, 33, 42
Auto, Straight...............................38
Auto-Negotiation...........................39
B
Back to Back ................................96
Back-to-Back Table Results .......... 105
BERT.......................... 46, 49, 59, 75
BERT Application..................... 46, 47
BERT ID................................. 51, 99
BIT .............................................19
Bit Error Rate Test ........................47
Bit Errors ................................... 117
Burst...........................................65
Burst Duration..............................65
C
Calibrate Touchscreen .................... 9
Cancel.......................................... 6
Caution .......................... 9, 111, 135
CFI .............................................70
CFI User Priority ......................... 158
Choose a port................................ 6
Comments ................................. 146
configure a stream .................. 51, 99
Constant Traffic Shape Setup..........67
Control ......................................133
CRC ..........................................117
Cross ..........................................38
Current Time ................................23
Customer Service..........................14
D
Data Rate ..................... 77, 107, 125
Date............................................24
Desktop................................. 3, 6, 9
DHCP .................................111, 163
DNS ............................. 27, 111, 163
Duplicate SN Error ......................117
E
echo request ..............................163
Eject ............................................ 9
Enable Capture Filter .....................61
End of Life Recycling and Disposal
Information ................................ 1
entering alphanumeric data ............. 6
ERR ............................................19
Error Frames ................. 77, 107, 125
Error Inject ............................ 6, 143
Error Injection ............................143
Errors/alarms ...............................19
Ethernet ....................................145
Ethernet Connection ......................42
Ethernet Frame Type .....................53
Ethernet Frames ..................149, 151
Ethernet LAN port .........................27
Ethernet Optical Line Encoding......148
Ethernet Overview ......................145
Ethertype............................. 55, 149
events ................................... 73, 75
Export a Results Report ...............139
External memory devices ................ 9
External Storage ...........................10
F
FCS...........................................149
FCS/CRC Error............................117
File Usage ..................................139
Firmware Version ..........................22
Flow control .................................. 6
Frame Gap ...... 77, 107, 117, 125, 154
Frame Interval...................... 80, 154
Frame Interval Note ....................154
Frame Length ....................... 53, 151
Frame Loss ..................................89
171
XTT 5000 User's Manual
Frame Loss Chart........................ 104
Frame Loss Rate ...........................87
Frame Rates........................117, 152
Frame Size and Efficiency.............152
Frame Size Details ......................151
Frame Type..................................55
Frames...54, 117, 145, 149, 151, 152,
154, 157, 158, 162
Full Duplex............................. 33, 36
G
Gateway address ..........................27
Gateways...................................163
Gaussian ............................. 53, 153
Gaussian Frame Probability ..........153
Get Current Time ..........................23
H
Half Duplex ............................ 33, 36
Hardware Notes ............................10
Hardware Version .........................22
Help............................................. 6
Home ........................................... 3
I
ICMP and Ping ............................ 163
ID...............................................70
IEEE Standards...........................146
IFG ........................................... 156
Important Information .................... 1
Inter Packet Gap......................... 156
Internet Protocol.........................163
IP .27, 51, 71, 99, 111, 114, 116, 117,
121, 128, 163
IP Address .................................113
IP Mode..................................... 111
IP Overview ...............................163
IP Packet ............................. 71, 163
IP Setup ................ 56, 111, 113, 114
IP Source and IP Destination ..........56
IP TEST .......................111, 113, 122
IP/URL ......................................122
IPG .............................. 73, 117, 156
IPv4 Frames............................... 117
IPv6.......................................... 117
K
Keepalive................................... 132
L
L2 BERT Diagram..........................49
LAN port ......................................27
Laser....................................... 6, 29
Laser On/Off ................................. 6
Latency ..............................103, 117
Latency Current ............. 77, 107, 125
Layer ...............................47, 50, 87
Layer 1 Unframed 8B/10B ..............50
LED Reset ..................................... 6
LEDs ....................................... 6, 19
Line Rate ........... 33, 77, 80, 107, 125
link .............................................42
Link Down....................................75
LINK LED .....................................42
Link Up........................................75
Live ...................................... 71, 73
Live Test Mode .............. 77, 107, 125
Live throughput test ......................73
LLC .............................................55
Loop Control......................6, 90, 133
Loop Down..........................129, 133
Loop Up..............................129, 133
LOOPBACK ...................... 18, 89, 132
Loopback Control .................... 6, 133
Loopback Diagram ......................131
Loopback Mode...........................132
Loopback Ports Note....................132
Loopback Responder....................135
LOS ..........................................117
M
MAC ...................................... 51, 99
MAC Address Format ...................155
MAC address source and destination 55
MAC Addresses ...........................155
MAC Setup ...................................55
Measurement Setup ......................20
Memory Usage..............................22
Menu............................................ 6
Menu Bar ...................................... 6
Metro Ethernet Forum (MEF).........146
Minimum IFG..............................156
Module Status Panel ....................... 6
MONITOR.....................................18
Monitor Applications ....................137
Monitor Setup.............................138
Mouse .........................................10
MPLS............ 51, 58, 95, 99, 117, 162
MPLS Setup..................................58
MPLS Structure...........................162
Multiple VLAN .............................158
MultiProtocol Label Switching .. 58, 162
N
NE TEST ......................................94
Negotiation ..................................32
Network Setup..............................27
O
Offices.........................................14
Optical Fiber.................................12
Cleaning ...................................12
Handling ...................................12
Optical Line Encoding...................148
172
Index
Overview & Architecture...............146
P
Pass Through .............................137
PAT.............................................19
Pattern Inversion ........................ 143
Pause............................. 34, 37, 117
Pause button ................................34
Pause Frame Delay........................34
Pause Frames................ 77, 107, 125
Payload .......................................59
Payload Setup ..............................59
PDF.............................................. 9
PDF Viewer ................................... 9
PING ............ 111, 114, 117, 124, 163
Ping Echo Log............................. 124
Ping Test .18, 111, 114, 121, 123, 128
Ping Trace Route Results.............. 123
Port ........... 6, 27, 29, 31, 39, 40, 132
Port Address ................................29
Port Combinations.........................31
Port Duplex..................................36
Port Rate .....................................33
Power Saving Timer ......................23
Press CLEAR HISTORY button .........19
Press Date ...................................24
Press Time ...................................26
Press Time Zone ...........................25
PRI .............................................70
Profile .......................................139
PROGRAM ....................................20
R
Ramp ..........................................68
Ramp Traffic Shape Setup ..............68
Recalibrate.................................... 9
Receive Statistics........... 77, 107, 125
Requests for Comments (RFC)
Documents.............................. 146
Reset ........................................... 6
Respond .................................... 135
Results ...6, 73, 77, 80, 107, 121, 125,
128
Results Files...............................139
RFC 2474.....................................56
RFC 2544............................. 95, 151
RFC Frame Loss Config ..................97
RFC Frame Setup ..........................95
RFC One Tester Application Diagram 86
RFC Thruput............................... 103
RFC Thruput Chart Results ...........106
RFC1349......................................56
RFC2474......................................56
RFC2544...... 86, 92, 96, 97, 101, 104,
105, 106
RFC2544 Latency Results ...............89
RFC2544 NE Stress Test.................94
RFC2544 Summary Results ..........101
RFC2544 Test Summary.................90
RFC2544/NE TEST.........................18
RJ...............................................31
RJ-45 ..........................................41
RJ-45 Options....................32, 33, 36
RJ-45 Port Setup..................... 32, 33
RMA ............................................14
Routers .....................................163
RX Pause .....................................35
S
safety........................................... 6
Save a File .................................139
Save Features ............................139
Save icon...................................139
Save/view measurement results....... 6
Saved Results......................... 6, 139
Saved Results File .......................139
Select Pattern...............................41
Send
Loop Down ..............................129
Loop Up ..................................129
Sequence Error.............. 77, 107, 125
Sequence Number. 44, 59, 63, 71, 117
Service Disruption.......... 77, 107, 125
Set
LAYER.......................................41
Setup ............................. 6, 114, 122
Setup file ...................................139
SFP Port Configuration ...................39
Short Burst ..................................65
Signal Configuration ................ 19, 85
Signal Setup.................................50
SNAP...........................................55
Splitter Monitor Mode ..................137
Stacked VLAN Tags .....................158
STAG ..........................................63
Standard, Quick............................90
Standards ..................................146
Start ............................................ 6
start a test.................................... 6
Start Mode ...................................20
Static IP ....................... 27, 111, 163
Statistics ............................. 73, 117
Status .........................................22
Stop............................................. 6
Stop Mode ...................................20
Straight .......................................32
Straight-through ...........................38
Stream Results .............................80
Stream Rx Filter............................61
173
XTT 5000 User's Manual
Stream Table................................54
Stream Table Setup................. 51, 99
streams 51, 54, 55, 56, 58, 61, 64, 67,
71, 72, 82, 99, 117
Stress .........................................94
STT 5000 desktop .......................... 3
STT Ethernet ................................42
Subnet Mask ................................27
Summary........................ 73, 75, 101
Summary Results.................. 73, 116
Sunrise Tag..................................59
Sunrise Tags ................................63
Sunrise Tags Notes .......................63
Sunrise Telecom ...........................14
System Administrator ..................... 9
System File Usage.........................22
System Setup...............................23
System Status Panel....................... 6
System Update .............................28
T
Tag ...........................................158
TCP..................................... 71, 163
TCP Frames................... 77, 107, 125
TCP Header Config ........................71
TCP Setup....................................71
TCP Throughput............................18
TCP/IP.......................................163
Tech VLAN User Priority ............... 161
Technology .. 145, 146, 148, 149, 151,
152, 153, 154, 155, 156, 157, 158,
161, 162, 163
test.............................................18
Test Applications...........................18
Test Frames ............. 77, 95, 107, 125
test layer ............................. 50, 133
Test Mode.............. 85, 133, 135, 137
test pattern..................................59
TEST TYPE ............................. 41, 50
Thoughput Stream Results .............80
Thresholds ...................................95
Throughput 41, 50, 51, 82, 85, 87, 90,
92, 95, 99
configure ..................................41
Throughput Aggregate Results 77, 107,
125
Throughput Signal Setup................50
Throughput Stream Table Setup 51, 99
Throughput Summary Results.........73
Throughput Test Setup ............ 41, 89
Thruput Summary Notes ................75
Time ................................22, 26, 27
time of da ....................................26
Time Zone ...................................25
TIMED .........................................20
Total Bytes...............77, 80, 107, 125
Total Frames ............77, 80, 107, 125
Total VLAN Frames......... 77, 107, 125
TPID ................................51, 70, 99
Trace Route ...............................122
Trace Route results window ..........123
Trace Route Test.........................111
TRACEROUTE .............................122
Traffic Shape............... 44, 51, 67, 99
Traffic Shape Setup............64, 65, 68
Trouble Ticket.............................139
Troubleshooting ...................... 10, 42
TS tag .........................................63
TX ..............................................32
TX Coupled ..................................20
TX Pattern..................................143
U
UDP ............................................72
UDP Frames .................. 77, 107, 125
UDP Setup ...................................72
UDP Source..................................71
Unframed signa ............................50
Unicast/Multicast Testing Note ......157
UPI ...........................................113
URG ............................................71
URL...........................................114
USB Mouse...................................10
User............................................59
User File Usage.............................22
User pattern.................................59
User Priority ...............................161
Utilization Average ......... 77, 107, 125
Utilization Current .........................82
V
Ver .............................................59
Virtual LEDs .................................19
VLAN51, 54, 87, 95, 99, 113, 151, 158
VLAN button.................................70
VLAN IDs ...................................158
VLAN Membership .......................158
VLAN Setup..................................70
VLAN Tagging.............................158
VLAN User Priority.......................161
W
Warranty .....................................16
Warranty Registration Card ............. 8
WEEE ........................................... 1
Wifi.............................................27
WiFi Settings ................................27
Windows System Notes................... 9
Working........................................ 6
Desktop ..................................... 6
174
Index
175
X
XFP.............................................40
XFP Port Setup .............................40




















